海洋真菌Phomopsissp.016来源的聚酮类成分研究

打开文本图片集
中图分类号:R931.77;TQ427.6+18 文献标志码:A
文章编号:1001-5922(2025)12-0059-05
Study on polyketides from marine fungus Phomopsis sp.016
YU Miao,LIU Weidong (Heze Medical College,Heze 2740oo,Shandong China)
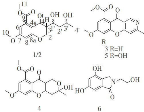
Abstract:Inorderto obtainstructurallydiverse andactive secondary metabolites,the metabolitesofa marine-derived fungus Phomopsis sp.O16 were systematicaly studied.The strain was inoculated on rice solid medium,and thecrude extract was obtained afterfermentation culture.The ethyl acetate was extractedand separated bysilica gel chromatographyto obtain monomer components.The obtained monomer components were further identified by nuclear magnetic resonance(NMR),electron circular dichroism (ECD),high resolution mass spectrometry (HRESIMS)and other methods,and the structure ofthe compound was determined in combination with relevant literaturedata.Theresultsshowed that six polyketides were isolated from theethylacetate fraction,which were phomopsischromanone A(1),phomopsischromanone B(2),diaporphasine A(3),diaporchromanone A(4),phomochromenone C(5)and meyeroguilineD(6).In this study,polyketides 1~6 were isolated and identified from the marine fungus Phomopsis sp. O16.Among them,compounds 1 and 2 are new compounds,and are rare 3- alkyl substituted chromonecompounds,which add new members tothe structural diversityof chromoneand provideascientific basis for the development and utilization of marine fungi.
Key words:marine fungus;secondary metabolites;chromanones;chemical composition analysis
海洋占地球表面积的 71% ,其独特的高压、高盐、低温、缺氧等环境,孕育了丰富的天然生物资源,这些多样的动植物及微生物群体可代谢产生大量具有生物活性的次级代谢产物。(剩余8669字)