改进麻雀搜索算法的水下滑翔机路径规划

打开文本图片集
中图分类号:TP242.3 文献标志码:A 文章编号:1671-5276(2025)06-0284-06
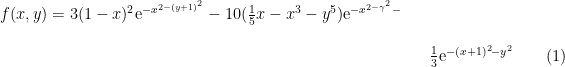
Abstract:An improvedsparrowsearchalgorithm forunderwater gliderisproposed tosolvetheproblemofunderwater threedimensionalglobal path planning withobstacles.Theunderwater3Dspatialmodeling methodisgivenacording totheworking environmentofunderwatergliders.TheTent-logisticchaoticmapisusedtoinitializethepopulationtomakethepopulation distributionmoreuiform.Theweightfactorisaddedtothelocationupdateformulacoresponding tothediferentwarnngvalues of thediscoverer,andtheglbaloptimalsolutionoftheprevious generationisadded,soas toacceleratetheconvergencespeed andimprovethesearchability.Thetestfunction'scomparisonofthesimulationwithotheralgorithmsdemonstratesthatthe improvedalgorithmhassignificantlyenhanceditsconvergenceaccuracyandvelocity.Uponitsapplicationtotheunderwaterglider pathplaning,theeffectivenessof theimprovedalgorithminthefieldof pathplanning isprovedbyexperimentalesults.
Keywords:underwater glider;three-dimensional path planning;sparrow search algorithm
0 引言
水下滑翔机是一种新型水下航行器[1],具有成本低、功耗小、续航时间长等特点,通过调节自身质心和浮力实现下潜和上浮,从而成为海洋重要观测平台[2]
路径规划问题一直是水下滑翔机的热点研究领域,合适的路径可以使水下滑翔机节省能耗,缩短工作时间,高效准确地到达指定位置。(剩余5743字)