数理天地(初中版)

数理天地(初中版)

2024年02期
  • 收藏
收藏成功
微博 空间 微信
《数理天地(初中版)》(月刊)创刊于1991年,由中国科学技术协会主管、中国优选法统筹法与经济数学研究会主办,面向国内外...     展开

类型

半月刊

类别

教育教学
定价
促销信息
全年订阅更优惠!
¥16.00 ¥1.80
目录

基础精讲

处理浮力问题的几种方法
【摘要】浮力问题是初中物理力学部分的一大重难点,综合性强,需要学生有较强的思维能力和等价转化能力.浮力大小的求解一般与密度、压强等因素息息相关.解决浮力问题需要综合应用阿基米德原理、力的平衡分析、物体沉浮条件等多个知识点.本文结合例题探究浮...
控制变量法在初中物理教学中的应用
【摘要】本文探讨了控制变量法在初中物理教学中的应用,重点介绍该方法的理论基础、实施步骤以及教学效果.通过合理设计实验,学生能够更深入地理解物理概念,培养科学思维和实验技能,提高学习兴趣.本文总结一些成功的教学案例,并展望未来在初中物理教学中...
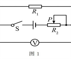
初中物理电路故障问题分类与分析
【摘要】初中物理中电路图属于一类十分重要的电学问题,给出具体电路图求可能发生的电路状态是最常见的考查方式.电路故障与电路图的联合考查,有助于学生更透彻地理解电路组成与相关元件作用,也能更灵活地解答其他电学问题.本文就三个例题分析电路中常见的...
漫谈动滑轮的特点及使用
【摘要】在解决常规滑轮时,要注意条件,认清距离、力等关系.对于非常规的动滑轮,一定要找到平衡关系.动滑轮实质是省力杠杆. 【关键词】竖放动滑轮;水平动滑轮;受力分析 在简单机械中,对于动滑轮的使用是一个难点,特别是对动滑轮的特别类型的使用,...
分类解读电学“U-I或I-U”伏安图象
【摘要】对于图象类问题的分析,首先要明确横纵坐标,弄清直线或曲线的含义,认清属于哪一类图象,特别对于图象中特殊的点要重点标记,知晓其特殊的意义,然后分析其变化的规律. 【关键词】 初中物理;滑动变阻器;伏安图象...
运动图象我来析
【摘要】解决图象类问题,首先要弄清图象的横坐标和纵坐标所表示的物理量,并根据图象的形状确定这两个物理量之间的关系.然后观察图象,分析图象的变化趋势或规律,弄清图象所表达的物理意义,分析图象的起点、交点、拐点和终点的含义,才能更好地培养科学思...
加热现象中相似之处寻不同
【摘要】判断能否沸腾,要抓住本质看现象,首先是抓住沸点和气压的关系,气压越低,沸点越低;其次要熟悉液体沸腾的条件,不断吸热和温度不变;再次需要了解液体吸热的条件:一定要接触到温度比自身高的物体发生热传递. 【关键词】初中物理;沸腾现象;热传...

解题方法

图象在初中物理解题中的理解与应用
【摘要】图象在初中解题中起着重要的作用.本文主要讨论初中物理中与v-t和x-t图象相关的问题,包括如何根据x-t图象确定物体的运动情况,如何根据v-t图象计算物体的运动参数等.通过对这些问题的解答,可以帮助初中学生理解物体的运动规律和解决相...
走出“功”知识学习中的误区
【摘要】判断做功不要被假象迷惑,不要误认为物体受到力并且移动了距离就是做了功,还应看到是否在力的方向上移动了距离.因题中通常会给定一些迷惑信息进行干扰,会导致学生对其认识不深、不透而走入了误区,文章从常见问题中存在的误区进行了梳理,希望对学...
密度、压强与浮力的综合问题探究
【摘要】本文以密度、压强和浮力的知识为背景,对其常见的综合问题进行分析讲解,在解决问题的过程中渗透着物理思想和科学推理能力的培养.以帮助学生提高对密度、压强和浮力基础知识的熟悉、掌握,完善这一板块的知识结构,培养学生解决问题能力,提高解题效...
图形结合在初中物理解题中的应用
【摘要】 在初中物理解题中,学生可以采用图形结合的方式解答一些难度较高、抽象性极强的问题,可以通过直观的方式展现物理问题,从而有效提高初中学生的物理解题技能.本文主要阐述如何运用图形结合开展初中物理解题,以期能够促进初中物理教学的发展. 【...
把握“三个三”,电压表使用起来真简单
【摘要】在串联电路的故障的排查中,要抓住灯泡的亮与不亮、电流表和电压表示数的有无进行判断,解决这类问题一定要分清电压表测量对象,才能更好地判断短路或断路的位置.而对于并联电路来说,只能断路,哪条支路没有电流则哪条支路发生了断路. 【关键词】...

例题精讲

“探究杠杆的平衡条件”实验面面观
【摘要】杠杆如何调节水平位置平衡、杠杆为何要水平位置平衡、如何改进实验、多次实验的目的、杠杆中点作为支点的目的、杠杆平衡的结论、杠杆平衡的应用等,可以从中发现每个问题的目的及对应解决方法,达到有问题、有办法、有交流、有应用这样的目的,实现“...
凸透镜成像实验中蜡烛成像规律例析
【摘要】凸透镜与凹透镜成像是初中物理的重要内容,也是学生在学习过程中特别容易混淆的知识点.特别是凸透镜,其成像情况较为复杂,要求学生熟练掌握成像规律,并且能举一反三.本文从凸透镜的成像规律出发,列举三道典型例题,希望可以帮助学生强化训练,熟...
利用“安培定则”作图面面观
【摘要】利用安培定则可以判断通电螺线管的磁极,也可以判断电流方向及电源的正负极,对于此类作图一定要抓住“四向同一”及安培定则的使用,已知其中两个要素即可确定其他要素.对于电磁作图应做到仔细、规范、美观、科学等,要具备作图的科学素养. 【关键...
立足提升学生核心素养的分组实验有效教学研究
【摘要】“核心素养”是指学生在个人成长和社会发展过程中必须具备的核心能力和品质.这些能力和品质对于学生适应未来社会、实现个人价值至关重要,它包括学生在接受教育过程中逐步形成的正确价值观念、必备品格和关键能力.这一概念的提出,是基于对我国传统...

聚焦“双减”

“双减”政策下初中物理课堂实效性提升策略探讨
【摘要】“双减”政策的落实,对初中物理教学的提质增效提出了更高要求.要想提升课堂教学的有效性,需要教师按照素质教育和新课改的要求,采取先学后教和合作探究等教法,激发学生学习的潜能和能动性.教师采取课前有效预习指导、课上鼓励学生合作探究、课后...
谈“双减”背景下初中物理高效课堂的构建方法
【摘要】随着教育改革的不断推进,初中物理教育面临着“双减”政策的全新挑战.在这一政策的指导下,教师需要以减轻学生负担为核心目标,对初中物理教学进行重新思考,努力构建一个高效的物理课堂,充分利用有限的时间,为学生提供更加优质的教学内容和更广阔...
基于“双减”政策下初中物理作业的设计与布置研究
【摘要】本文旨在探讨如何根据“双减”政策的要求,制定出更适应初中物理学科的作业设计与布置原则和策略.首先,明确基于“双减”政策下初中物理作业的设计原则,强调科学性、实践性、创新性、主体性和综合性,以确保作业不仅有助于学生的知识掌握,还能够激...
“双减”背景下初中物理大单元教学实践研究
【摘要】“双减”作为新教学政策,在减负增效目标实现过程中,教师要对“双减”的真实教学目标有所了解.在初中物理教师落实“双减”这一政策时,需要教师重视学生的核心素养培养,要创新教学方式.大单元教学活动设计,对素质教学目标实现有积极作用.在设计...

优化课堂方法

生活化教学理念渗透初中物理教学的策略探究
【摘要】近年来,生活化教学理念已逐渐受到教育界的重视,并在初中物理教学中得到广泛应用.生活化教学理念要求将课堂内容与学生的日常生活相结合,使学生能够更好地理解和应用所学知识.在初中物理教学中,可以通过引入生活化的教学案例、实验和活动等方式,...
问题驱动教学法在初中物理教学中的实施分析
【摘要】问题驱动教学是一种以“问题为中心”的教学方式,它能调动学生的积极性,促使学生进行思维与探索.在教学实践中,问题驱动教学法已经被广泛应用于各个学科的教学中,取得了显著的效果.本文探讨问题驱动教学法在初中物理教学中的应用,以及其带来的益...
“体验教学”带领学生真正走进物理
【摘要】初中物理教学注重物理与生活的联系,物理与社会发展的联系.而现在的大部分初中学生恰恰缺失生活体验,对科技发展、社会发展很不了解.学生的物理学习只是借助于教师的讲解、分析,以及不太多的实验操作来理解掌握知识,更多的是死记硬背,缺失对物理...
探究初中物理教学情境创设存在的问题及解决对策
【摘要】在传统的教学模式中,并没有对教学情境的创设给予足够的重视,更多地是将注意力放在了教师的教学方法上.在对教育方法进行研究的过程中,对课堂结构进行持续优化的过程中,这让很多教师都开始关注情境创设法,而初中物理是一门非常具有吸引力的学科,...

教学思想实践

指向深度学习的初中物理实验教学
【摘要】本文探讨初中物理实验教学中存在的困境和如何通过深度学习的方法进行改进,以大气压强教学为例.当前的实验教学中存在实验器材短缺、缺乏科学探究过程、学生长期处于浅层学习和缺少实操机会等问题.为了解决这些问题,本文提出一个基于深度学习的六步...
初中物理大单元教学设计研究
【摘要】新课标下,将更高的要求抛向了初中阶段的物理教学.在教学之中,教师要转变传统授课观念,将注意力放到对学生核心素养培养方面.大量教学实践表明,采用大单元主题方式开展初中物理教学,能够将教学内容更完整、系统地讲授给学生,进而有效提升学生的...
初中物理开展大单元教学活动的有效方法
【摘要】在新课程背景下,初中物理课程对教师提出了更高的要求.为了真正落实新课程的育人要求,教师需要选择更加恰当的教学策略.从实际情况来看,在当前初中物理众多教学模式中,大单元教学无疑是一种有效的方法和理念.本文针对大单元教学策略,在初中物理...
指向物理观念建构的初中物理大单元教学实践研究
【摘要】本文探讨初中物理大单元教学实践对学生物理观念建构的影响,结果显示实践性教学活动能帮助学生更好理解物理概念并应用于实际问题,教师引导和激发学生兴趣也对物理观念建构有积极作用,教师应注重实践性教学活动设计和引导,促进学生物理观念建构. ...

教学经验交流

互动教学在初中物理课堂上的实践
【摘要】在初中物理课堂教学过程中,对互动教学模式的充分应用,可以极大地提高学生们的学习积极性和主动性,有助于教师与学生之间构建起长效且有效的沟通桥梁,使学生在更热烈的学习氛围中,感受到物理学科知识的丰富性、精彩性,从而更乐于学习物理这门学科...
翻转课堂教学模式在初中物理教学中的实践探讨
【摘要】作为一种新的教学方式,翻转课堂运用了微课等多种媒介的教育平台和教育资源,对学生进行了积极的引导,目的是增强学生的学习意识和主动性,从而提升他们的学习效果.在初中物理课程中引入“翻转课堂”,既能适应新课程的需要,又能适应课堂的教学目标...
感受式课堂视野下的初中物理概念教学模式创新思考
【摘要】既往的压强概念教学往往侧重于理论知识的传授和计算式的题目练习,学生缺乏对于物理课程的实际体验和情感投入.因此,有必要探索一种更加引人入胜、互动性更强的教学模式,使学生能够更直观地感受到压强的概念,加深对知识的理解.在感受式课堂的视野...

实验教学专栏

让实验成为一道亮丽的彩虹
【摘要】《义务教育物理课程标准(2022年版)》指出物理实验和跨学科实践是教师落实物理课程育人要求的重要载体.新课标下,任课教师需着重发挥实验对物理课堂教学所存在的辅助作用,使实验成为物理教学长空中一道亮丽的彩虹.本文基于新版课标背景围绕实...
初中物理实验教学中学生操作能力的培养
【摘要】素质教育对初中物理实验教学的有效性提出了更高要求,教师讲授理论知识的同时,要注重学生实践操作能力等学科核心素养的发展,以此促进学生的全面发展.教师将培育素养的任务贯穿教学的全程,通过课前自主设计小实验进行预习,课上指导学生有效进行实...
初中物理实验教学优化策略探析
【摘要】本文以鲁科版九年级上册物理教材电学部分的典型物理实验教学为例,探讨分析在学科核心素养理念下,对演示性物理实验、测量性物理实验、验证性物理实验及探究性物理实验进行优化及完善的策略方法,意在以初中物理实验及教学模式的革新为支点,推动义务...
基于低成本实验的教学设计
【摘要】物理是一门以实验为基础的学科,在新课程标准大力提倡低成本实验的背景下,要求教师低使用成本的实验材料,开展低成本实验,并保障实验教学的预期效果实现,这就对物理教师的教学带来了挑战,既需要教师树立低成本实验的意识,又要从低成本实验的视角...
基于物理实验的初中物理项目化教学设计
【摘要】在当下教育改革的背景下,项目化教学逐渐成为教育界的热门话题.它强调学生主动参与和实践操作,能够更好地激发学生的学习兴趣和积极性.初中阶段是学生物理学基础知识的积累阶段,通过项目化教学,可以让学生在动手实践中理解和掌握物理知识.本文旨...
关于初中物理教学中开展家庭实验的实践探索
【摘要】物理学科依赖于实验进行知识的探索和验证,因此,学生对物理知识的深入学习和理解往往需要通过实验来实现.然而,在初中教学实践中,教师往往未能充分利用实验手段进行创新性和趣味性的课堂教学,限制了学生对物理知识的掌握和理解.为提升物理教学的...
刍议“实验前置,先探后教”的物理教学方式
【摘要】物理学科是学生认识物质世界本质的重要自然科学,是学生认识与探索世界奥秘的有力思想武器.本文倡导将实验前置,让学生亲身经历实验探究的过程,体验自主学习的乐趣,在教师的合理指导和评价过程中实现先探后教.先探后教,能有的放矢,切身体验,培...
NOBOOK虚拟实验室在构建初中物理高效课堂中的应用研究
【摘要】在新课标改革和教育信息化技术的双重推动下,物理作为一门实验学科,物理教师们更是需要在全新教学理念的指导下,尽快转变传统教学方式,构建“以学生为主体”的高效课堂.利用NOBOOK物理实验室使物理课堂变得更具交互性和灵活性,这样的高效课...

核心素养培养

立足核心素养,优化物理实验
【摘要】随着教育体系对核心素养培养的日益重视,初中物理实验教学面临着前所未有的挑战和机遇.本文基于新课标与核心素养的融合观点,全面剖析当前初中物理实验教学在培养学生核心素养方面的重要性、存在的问题及其解决策略.这些策略和案例不仅具有理论指导...
基于核心素养下的初中物理课堂教学设计
【摘要】本文以“地球上的水循环”教学设计为例,在设计中以提升学生物理核心素养为目的,注重物理学科核心概念,强调知识的建构过程.在认识科学本质,理解科学与技术、社会、环境的关系基础上形成正确态度以及责任感. 【关键词】核心素养;初中物理;教学...
基于核心素养的初中物理作业设计
【摘要】课后作业在物理教学过程中扮演着重要的角色,对优化初中物理教学具有重要作用.作为物理教学的关键组成部分,怎样布置务实、有用的作业一直以来都被教师关注.“双减”工作要求教师不断提升作业设计水平,提高作业质量.教师应深入研究初中物理作业设...
核心素养下的物理中考实验教学研究与实践
【摘要】核心素养是教育改革中的一个重要概念,旨在培养学生全面发展的能力,包括知识、技能、情感和价值观等方面.物理作为一门自然科学学科,具有独特的教育价值,既可以培养学生的科学素养,又可以促进培养学生的创新能力和批判性思维.因此,将核心素养与...

学生培养研究

初中物理教学中学生逆向思维培养策略研究
【摘要】定势思维会影响学生逻辑思维的发展,导致学生学习受阻,针对此类问题现象,为有效防范与避免学生出现定势思维,需贯彻落实学科核心素养教学,不断强化对学生逆向思维的培养.本文利用文献分析法与工作经验总结法,以初中物理学科为主题,分析与研究初...
动手能力在初中物理教学中的培养探讨
【摘要】初中物理新课标中要求教师要加强对学生核心素养的培养,提升学生的综合能力,转变传统的教学思想,创新教学活动.动手能力的培养不仅有助于学生的物理学科学习,更对学生的终身发展有重要帮助,教师要充分考虑学生动手能力发展的需求,激发学生的动手...

教育技术与物理融合

探讨以信息化教学构建初中物理智慧课堂
【摘要】本文深入探讨如何以信息化教学为基础构建初中物理智慧课堂,以提升教师教育质量和学生学习体验.通过综合运用虚拟实验、个性化学习、多媒体资源、在线社区、数据分析和教师培训等工具,可以为学生创造更富有活力和效率的物理教育环境,增长更丰富的学...
信息技术与初中物理教学融合的问题分析及对策
【摘要】时至今日,随着科技持续创新与进步,信息技术早已深入社会各个领域,并对各领域的改革发展产生了深刻影响,其中也包括教育教学领域.对于不同学科,信息技术的应用过程和结果有所不同,但信息技术的存在不仅为教师的学科教学活动提供了诸多便利,也有...
基于“互联网+微课”的初中物理教学模式创新分析
【摘要】随着“互联网+”技术的进步,“微课”教学的形式层出不穷,社会对“微课”技术的需求也在与日俱增.新形势下,通过“互联网+微课”技术,实现初中物理教学模式的多元化和新颖性,是当前物理教学行业需要探析的重要课题.本文就此展开具体分析. 【...
相关杂志
  • 中国学校体育

    中国学校体育

    2025年10期
    ¥7.59
  • 大学教育(上半月)

    大学教育(上半月)

    2025年11期
    ¥15.00
  • 物理教学探讨

    物理教学探讨

    2025年11期
    ¥7.29
  • 小学教学研究·(上旬·语文)

    小学教学研究·(上旬·语文)

    2025年10期
    ¥4.89
  • 考试周刊

    考试周刊

    2025年48期
    ¥14.49
  • 甘肃教育

    甘肃教育

    2025年22期
    ¥3.69
  • 高教探索

    高教探索

    2025年06期
    ¥12.00
  • 化学教学

    化学教学

    2025年11期
    ¥7.29
  • 江苏教育

    江苏教育

    2025年22期
    ¥6.00
  • 语文建设·上半月

    语文建设·上半月

    2025年11期
    ¥6.00
  • 教育实践与研究·小学课程版

    教育实践与研究·小学课程版

    2025年11期
    ¥6.00
  • 现代家长

    现代家长

    2025年11期
    ¥5.40
订阅全年后,您可享受以下权益
①该本杂志即日起至未来1年内所有更新电子版杂志的使用权限;
②赠送该杂志的部分往期的杂志的使用权限,有效期1年。

全年订购价格: ¥30.00

订阅全年
--%>

登录龙源期刊网

温馨提示:

1.点击网站右上角的“充值”按钮可以为您的账号充值

2.充值金额可以选择30,50,100或500元

3.充值成功后即可购买网站上的任意杂志或文章

还没有龙源账户? 立即注册

购买杂志

数理天地(初中版)

杂志价格:¥1.80元

  • 微信扫码支付
  • 当前余额:100.00

购买杂志

数理天地(初中版)

杂志价格:¥1.80元

  • 微信扫码支付
  • 当前余额:¥100.00

    去充值
monitor
客服机器人