注册帐号丨忘记密码?
1.点击网站首页右上角的“充值”按钮可以为您的帐号充值
2.可选择不同档位的充值金额,充值后按篇按本计费
3.充值成功后即可购买网站上的任意文章或杂志的电子版
4.购买后文章、杂志可在个人中心的订阅/零买找到
5.登陆后可阅读免费专区的精彩内容
打开文本图片集
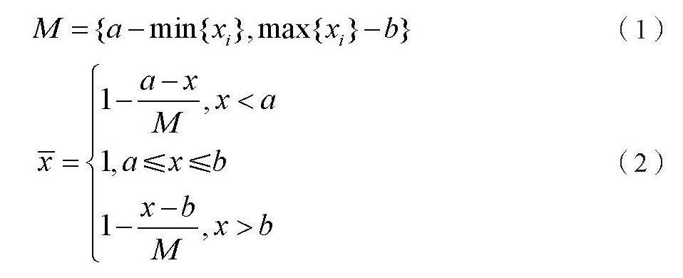
摘 要:为改善城市居民的健康状态,降低慢性非传染性疾病患病率,结合新版《中国居民膳食指南》标准,提出一种对城市居民饮食习惯合理性评价方法。根据某地区居民生理指标数据应用TOPSIS模型进行健康状态打分,取得分的90%分位数作为界定阈值,把健康状态分为健康与非健康两类,将是否健康与饮食习惯是否合理相对应,以减少人工数据标签误差。(剩余6020字)
登录龙源期刊网
购买文章
一种城市居民饮食习惯合理性评价方法研究
文章价格:5.00元
当前余额:100.00
阅读
您目前是文章会员,阅读数共:0篇
剩余阅读数:0篇
阅读有效期:0001-1-1 0:00:00