注册帐号丨忘记密码?
1.点击网站首页右上角的“充值”按钮可以为您的帐号充值
2.可选择不同档位的充值金额,充值后按篇按本计费
3.充值成功后即可购买网站上的任意文章或杂志的电子版
4.购买后文章、杂志可在个人中心的订阅/零买找到
5.登陆后可阅读免费专区的精彩内容
打开文本图片集
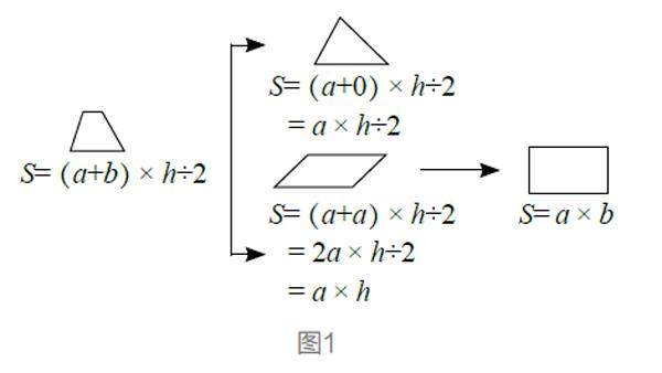
【摘 要】数学复习课,首先,要采用联系的观点,让学生对知识进行梳理,形成结构化认知;其次,要适时链接相应的数学文化,实现“数学文化”与“数学学科”的完美融合;再次,要在教学时用少量主题的深度探究来代替大部分的浅层学习,锤炼学生的思维;最后,要开发数学课程,开展跨学科学习,用数学自身的魅力让学生因迷恋数学而产生自主探究的内驱力,享受思考的乐趣。(剩余6718字)
登录龙源期刊网
购买文章
联·链·炼·恋:数学复习课的应然走向
文章价格:5.00元
当前余额:100.00
阅读
您目前是文章会员,阅读数共:0篇
剩余阅读数:0篇
阅读有效期:0001-1-1 0:00:00