注册帐号丨忘记密码?
1.点击网站首页右上角的“充值”按钮可以为您的帐号充值
2.可选择不同档位的充值金额,充值后按篇按本计费
3.充值成功后即可购买网站上的任意文章或杂志的电子版
4.购买后文章、杂志可在个人中心的订阅/零买找到
5.登陆后可阅读免费专区的精彩内容
打开文本图片集
二次函数是初中数学的核心内容,是代数与几何的交汇点,对培养学生数学思维意义重大.其题型多样且综合性强,掌握有效解题策略是学生攻克二次函数题的关键.本文将结合例题深入探析.
1利用二次函数图象性质求解函数表达式
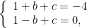
例1已知二次函数 y=x2+bx+c 的图象经过点 (1,-4) 和 (-1,0) (1)(剩余2179字)
登录龙源期刊网
购买文章
初中数学二次函数题的解题策略探析
文章价格:3.00元
当前余额:100.00
阅读
您目前是文章会员,阅读数共:0篇
剩余阅读数:0篇
阅读有效期:0001/1/1 0:00:00