注册帐号丨忘记密码?
1.点击网站首页右上角的“充值”按钮可以为您的帐号充值
2.可选择不同档位的充值金额,充值后按篇按本计费
3.充值成功后即可购买网站上的任意文章或杂志的电子版
4.购买后文章、杂志可在个人中心的订阅/零买找到
5.登陆后可阅读免费专区的精彩内容
打开文本图片集
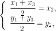
在初中数学中,由于等腰直角三角形具有丰富的边角关系,因此在中考中出现的频次较高,而“等腰三角形存在性问题”又可与动点问题、函数问题、方程问题、全等三角形等问题紧密联系,具有极强的综合性.但这类题型难度较大,学生在实际处理过程中往往因为动点的抽象特征较难有一套解题模式.笔者利用中点坐标公式和平移的相关(剩余63字)
登录龙源期刊网
购买文章
巧用坐标法解等腰直角三角形存在性问题
文章价格:3.00元
当前余额:100.00
阅读
您目前是文章会员,阅读数共:0篇
剩余阅读数:0篇
阅读有效期:0001-1-1 0:00:00