注册帐号丨忘记密码?
1.点击网站首页右上角的“充值”按钮可以为您的帐号充值
2.可选择不同档位的充值金额,充值后按篇按本计费
3.充值成功后即可购买网站上的任意文章或杂志的电子版
4.购买后文章、杂志可在个人中心的订阅/零买找到
5.登陆后可阅读免费专区的精彩内容
打开文本图片集
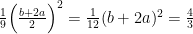
根据要求的问题可以将三角形最值问题分为求线段最值、求周长最值、求面积最值及求角度最值四种情境,考查的知识点有正弦定理、余弦定理、三角函数恒等变形、向量、几何图形的性质、面积计算公式等,知识涉及面广.但是对于大多数习题,最终会落脚到运用基本不等式求出结果.如何对边、角进行针对性的变形,以更好地应用基本(剩余15字)
登录龙源期刊网
购买文章
巧用基本不等式求解三角形最值问题
文章价格:3.00元
当前余额:100.00
阅读
您目前是文章会员,阅读数共:0篇
剩余阅读数:0篇
阅读有效期:0001-1-1 0:00:00