注册帐号丨忘记密码?
1.点击网站首页右上角的“充值”按钮可以为您的帐号充值
2.可选择不同档位的充值金额,充值后按篇按本计费
3.充值成功后即可购买网站上的任意文章或杂志的电子版
4.购买后文章、杂志可在个人中心的订阅/零买找到
5.登陆后可阅读免费专区的精彩内容
打开文本图片集
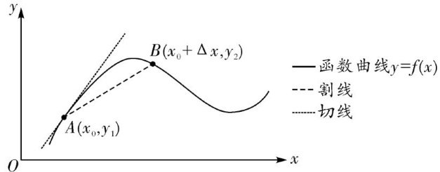
导数运算作为高中数学的核心知识内容,不仅是学生学习的重点和难点,也是高考数学的关键考查内容.传统的数学教学往往以理论讲解和公式推导为主,容易让学生感到枯燥和乏味[,对学生数学思维能力的培养和数学素养的提升关注不足.因此,构建基于课堂互动的导数运算教学新模式,对提高学生学习兴趣、培养创新思维、增强应用(剩余4568字)
登录龙源期刊网
购买文章
基于课堂互动的高中数学教学设计探索
文章价格:4.00元
当前余额:100.00
阅读
您目前是文章会员,阅读数共:0篇
剩余阅读数:0篇
阅读有效期:0001-1-1 0:00:00