搭建支架,助推深度学习思维
——以部编版五下《田忌赛马》为例

打开文本图片集
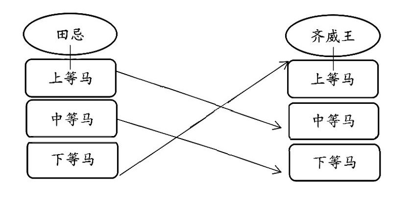
《田忌赛马》是一篇由寓言故事改编而成的课文,其语言凝练、内容浅显。如何借助浅显的文章培养学生的深度学习思维,是时下语文教师应思考和解决的问题。在心理学家维果斯基“最近发展区”理论的基础上,诞生了支架式教学模式,它旨在为学生提供支持和引导,有助于培养小学生良好的学习习惯,增强其学习能力。因此,教师可将支架式教育理论融入文本阅读教学中,于课堂上搭建阅读和思考支架,为学生指明阅读和探究的方向,从而在“浅文”教学中达到深度阅读的效果。(剩余2309字)