注册帐号丨忘记密码?
1.点击网站首页右上角的“充值”按钮可以为您的帐号充值
2.可选择不同档位的充值金额,充值后按篇按本计费
3.充值成功后即可购买网站上的任意文章或杂志的电子版
4.购买后文章、杂志可在个人中心的订阅/零买找到
5.登陆后可阅读免费专区的精彩内容
打开文本图片集
中图分类号 O657.33;TS264.3 文献标识码A 文章编号 1007-7731(2025)23-0100-05
DOI号 10.16377/j.cnki.issn1007-7731.2025.23.022
Rapiddeterminationofphysicochemical indices(剩余9256字)
登录龙源期刊网
购买文章
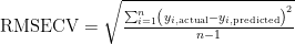
近红外光谱法快速测定烟用香精香料理化指标
文章价格:5.00元
当前余额:100.00
阅读
您目前是文章会员,阅读数共:0篇
剩余阅读数:0篇
阅读有效期:0001/1/1 0:00:00