注册帐号丨忘记密码?
1.点击网站首页右上角的“充值”按钮可以为您的帐号充值
2.可选择不同档位的充值金额,充值后按篇按本计费
3.充值成功后即可购买网站上的任意文章或杂志的电子版
4.购买后文章、杂志可在个人中心的订阅/零买找到
5.登陆后可阅读免费专区的精彩内容
打开文本图片集
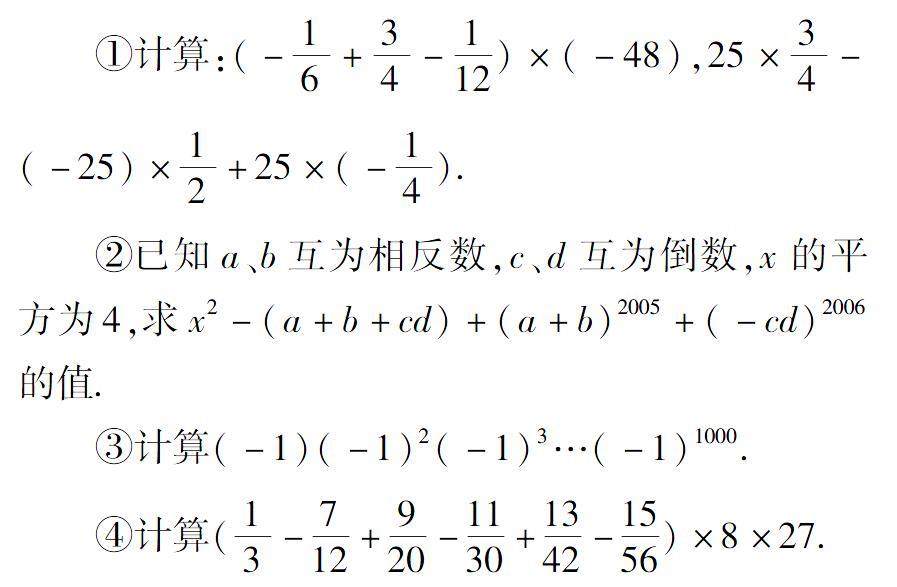
摘要:思维发散是意识范畴层面的认识、创造性活动.新课程标准下,通过发散学生思维可以培养学生数学抽象、分析及运算等数学能力和品质,有效落实数学学科核心素养.文章在分析思维发散的流畅性、变通性、独创性特征的基础上,详细分析了在课堂授课、复习课教学、实践活动中如何引导学生发散思维,使其思维能力得到提升.
(剩余4287字)
登录龙源期刊网
购买文章
初中数学教学中学生发散思维的培养策略
文章价格:4.00元
当前余额:100.00
阅读
您目前是文章会员,阅读数共:0篇
剩余阅读数:0篇
阅读有效期:0001-1-1 0:00:00