注册帐号丨忘记密码?
1.点击网站首页右上角的“充值”按钮可以为您的帐号充值
2.可选择不同档位的充值金额,充值后按篇按本计费
3.充值成功后即可购买网站上的任意文章或杂志的电子版
4.购买后文章、杂志可在个人中心的订阅/零买找到
5.登陆后可阅读免费专区的精彩内容
打开文本图片集
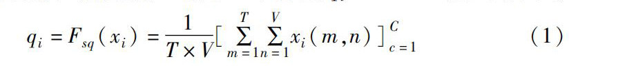
摘 要:传统的股票价格预测模型只针对单一维度价格进行预测,忽略了多维度价格之间的复杂关系。因此,为了更好地对股票价格进行准确预测和为决策者提供前瞻性信息,提出了一种新的基于多视图注意力机制的多维度价格预测模型。通过多视图的深度可分离卷积网络学习多维度股票价格潜在的复杂的输入—输出关系,更好地提取股票价格的时空特征,实现时空数据的智能关联,并使用注意力机制进一步提升模型的预测性能,进而通过时空多维度的股价历史数据来预测单和多时间步长股票价格。(剩余13187字)
登录龙源期刊网
购买文章
基于多视图注意力机制的多维度价格预测模型研究
文章价格:6.00元
当前余额:100.00
阅读
您目前是文章会员,阅读数共:0篇
剩余阅读数:0篇
阅读有效期:0001-1-1 0:00:00