注册帐号丨忘记密码?
1.点击网站首页右上角的“充值”按钮可以为您的帐号充值
2.可选择不同档位的充值金额,充值后按篇按本计费
3.充值成功后即可购买网站上的任意文章或杂志的电子版
4.购买后文章、杂志可在个人中心的订阅/零买找到
5.登陆后可阅读免费专区的精彩内容
打开文本图片集
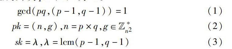
摘 要:传统区块链不可被窜改的特性限制了区块链技术的发展,而对可修改区块链的研究目前还处在初始阶段,许多方案在系统效率和安全性上还存在诸多不足。针对这些问题,首先,提出了一种改进的区块链数据结构使之适用于可修改功能;其次,使用同态加密技术设计了一种主私钥合成算法,保障了用于链上数据修改的私钥在合成过程中的安全;同时,设计了一种匹配机制减少了私钥合成过程中的通信量;最后,设计了一种对修改请求的审计方法,保证了对修改请求审计的合理性和安全性。(剩余16138字)
登录龙源期刊网
购买文章
基于加法同态的可修改区块链方案
文章价格:6.00元
当前余额:100.00
阅读
您目前是文章会员,阅读数共:0篇
剩余阅读数:0篇
阅读有效期:0001-1-1 0:00:00