注册帐号丨忘记密码?
1.点击网站首页右上角的“充值”按钮可以为您的帐号充值
2.可选择不同档位的充值金额,充值后按篇按本计费
3.充值成功后即可购买网站上的任意文章或杂志的电子版
4.购买后文章、杂志可在个人中心的订阅/零买找到
5.登陆后可阅读免费专区的精彩内容
打开文本图片集
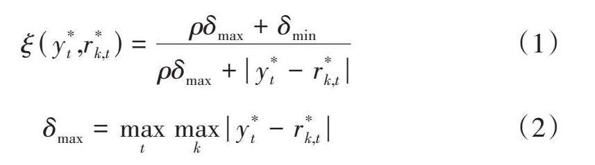
摘 要:针对辐射周期趋势及外部影响特征捕获不足的问题,提出一种线性分解和周期增强Informer的地表太阳辐射短临预报方法。首先,改进灰色关联度方法,获取历史辐射与多种外部气象因素关联度,提取16种高相关外部气象特征建立高关联特征集,强化捕捉辐射与气象因素之间的复杂关系的能力;其次,在基于Transformer解决方案的基础上引入周期性嵌入层和ReLU激活函数,为模型提供更准确、合理的周期时间特征和辐射变化区间。(剩余13117字)
登录龙源期刊网
购买文章
线性分解和周期增强Informer的太阳辐射短临预报研究
文章价格:6.00元
当前余额:100.00
阅读
您目前是文章会员,阅读数共:0篇
剩余阅读数:0篇
阅读有效期:0001-1-1 0:00:00