电脑知识与技术

电脑知识与技术

2022年22期
  • 收藏
收藏成功
微博 空间 微信
《电脑知识与技术》是一本融知识、技术、信息于一体的计算机类杂志(旬刊)。1994年创刊以来,本刊一直本着“普及电脑知识、...     展开

类型

旬刊

类别

学术
定价
促销信息
全年订阅更优惠!
¥35.00 ¥21.00
目录

本期推荐

利用循环翻译提高维汉机器翻译性能实践探究
摘要:目前通常使用反向翻译来提升翻译模型的性能。因为通过反向翻译获得的伪造数据质量参差不齐,一般需要筛选反向翻译得到的句子,然后与真实数据混合使用。因此,该文在维汉机器翻译任务中,对利用BLEU值、MAS、BERT及多种相似度计算方法融合等...
基于视觉特征的火焰探测技术
摘要:机器视觉的识别算法在火灾识别领域取得了一些成就,但是由于稳定性等问题并没能取代传统感温感烟探测器的地位。而烟温传感器需要在火灾发展到一定的规模才能实现预警,这时可能已经造成了极大的人身危害和财产损失。文章提出了一种基于多特征融合的视频...
基于贝叶斯优化的密度峰值聚类算法
摘要:针对人工经验设定密度峰值的聚类算法(clustering by fast search and find of density peaks, DPC)的截断距离[dc]有很大的主观性和随机性,进而导致密度峰值聚类算法的性能无法完全发挥...

数据库与大数据技术

新工科背景下数据科学与大数据技术专业建设探索
摘要:自教育部2017年2月积极推进新工科建设以来,各大高校纷纷响应国家号召,申报了数据科学与大数据技术专业。针对数据科学与大数据技术专业建设中存在的人才体系尚未健全、人才培养与市场需求脱节、教学软硬件平台落后、师资力量和水平亟待提高等问题...
基于智慧校园的学生行为特征的大数据分析与研究
摘要:越来越多的高校开始使用大数据分析解决日常教学、管理中遇到的实际问题,通过对校园卡消费、上网、考试成绩等数据进行分析,从而改进学校的教学、管理等方面的问题。当代的学生生长于信息化时代,热衷于使用计算机等设备来解决生活和学习中碰到的问题,...
基于Neo4J的人物事件关系知识图谱构建研究
摘要:文章研究如何使用Neo4J图数据库技术对人物事件关系进行有效数字化存储和查询。首先,通过与传统关系型数据库对比,分析了Neo4J数据库在复杂关系存储和查询方面的优势,然后以“常州三杰”为例,分析了人物事件关系知识图谱中的五大实体类型及...
基于数据挖掘的线上线下混合式教学网课推荐系统设计
摘要:教学网课的设计与构建在新时代的发展中虽然获得了一定的便利条件,但是在实际应用的过程中仍然存在部分缺陷与问题。因此,对基于数据挖掘的线上线下混合式教学网课推荐系统进行设计。设计MPU6050集成传感器,同时接入总线电源,完成对硬件的设计...
MySQL数据库数据导入导出方法的探讨
摘要:MySQL是一种关系数据库管理系统,因为其各种优势特点,被广泛应用到各个邻域。数据库中数据是实现数据库各个功能的前提条件,所以关于数据库中数据的导入与导出是至关重要的一个环节。文章通过对MySQL数据库管理系统学习过程的总结,对MyS...

网络通信与安全

大数据背景下计算机信息处理技术的缺陷及优化
摘要:随着社会经济和科学技术的飞速发展,信息技术和互联网技术的发展也非常迅速,逐步走向大数据时代。大数据背景下计算机信息处理技术已经是人们研究的热点,该文对于当前计算机信息技术在发展中存在的问题进行分析总结,对计算机科学进行初步的分析,同时...
基于物联网的无线通信原理课程教学资源共享平台设计
摘要:原有共享平台在对教学资源的分类上过于模糊,当用户发出请求时不能快速做出处理,导致请求响应的时间较长,影响对教学资源共享平台的使用效果,为此,设计基于物联网的无线通信原理课程教学资源共享平台。在硬件设计上,以物联网构建课程教学资源共享平...
“互联网+教育”大背景下高职院校智慧校园的建设探索
摘要:近年来,宁夏作为首个“互联网+教育”示范区建设省份,不断加大教育信息化建设投入,始终把教育摆在优先发展的战略地位。将“互联网+教育”融入人才培养、教育服务、教育治理的全过程,坚持推动教育理念更新、教育模式改革、教育体系重构,努力让每位...
基于超融合架构的VDI高校桌面云系统的研究
摘要:随着高校信息化应用的不断普及,传统办公终端存在维护难、安全差、使用体验差等诸多问题。为了满足高校教师对移动办公,终端数据安全的需求,通过对建设桌面云的几种技术进行分析,文章提出了一种基于超融合架构的VDI高校桌面云系统建设方案,并阐述...

软件技术

基于SpringBoot+Vue的好农物商城的设计与实现
摘要:我国正处于传统农业逐渐转入现代农业的新发展阶段,在互联网时代背景下,为及时变更经营模式、引进新技术以利好农产品的销售,开发了好农物商城,系统采用SpringBoot、Vue、Mybatis-plus与MySQL数据库等技术构建,分为前...
基于多学科协作管理的慢性肾脏病随访App设计
摘要:为了解决慢性肾脏病(CKD) 传统随访方式数据收集不完善、诊治效率低下的问题,对当前CKD诊疗指标进行分析,采用多学科协作管理方式,设计开发出了一款CKD随访App。从医生、护士、药师、营养师四方分别设置相应的权限和操作功能,构建CK...
基于微信小程序的高校宿舍报修系统设计
摘要:随着互联网技术的发展,传统的宿舍设施报修方式已经无法满足高校的发展需求。文章基于微信开发平台,实现了一款基于微信小程序的高校宿舍报修系统,简化了报修流程,提高了报修效率,并使用云开发平台对信息存储与查询进行优化,为高校宿舍管理带来便利...
高校课程服务平台建设与应用
摘要:文章以河南中医药大学“课程服务平台”的设计、建设、应用为例,阐述以课程为主线,囊括课前教学资料准备、课中教学过程设计、课中形成性考试管理、课后终结性考试管理、教学决策管理五大功能模块的课程服务平台建设与应用,为高等院校教学和课程管理提...
基于Web平台的校园生活服务平台
摘要:文章以四川轻化工大学校内外信息为基础,开发了一款基于Web平台的应用——校园生活服务平台,以实现校园地理信息管理、地点搜索、办公室搜索、校园三维地图导航等功能。该应用主要面向特定人员,如校内师生、外来人员等,解决他们对校园周边不熟悉等...
基于SpringBoot的在线协同办公系统设计与实现
摘要:大数据时代,在线办公蓬勃发展,传统办公模式已无法适应多数企业的发展需求。基于该社会需求,设计并实现一款在线协同办公系统。系统支持员工人脸识别考勤签到、在线会议、在线请假报销等,通过独立的云文档模块实现办公文件协同;支持后台管理用户的信...

人工智能

基于深度学习的文本关系抽取研究
摘要:为了丰富建筑领域的知识图谱,让建筑领域的研究学者可以更直观地看出近些年国内研究现状,该文尝试从改善知识图谱构建过程中三元组的抽取工作。关系抽取作为自然语言处理领域的一大难点,尤其是在处理非结构化文本方面。该文基于深度学习的PCNN神经...
基于Java多线程的智能图片爬虫系统的研究与实现
摘要:针对在传统的爬虫系统中,按照一定规则自动抓取相关信息时,通常包含大量的无效信息这一问题,提出了一种基于Java多线程的智能图片爬虫系统。该系统以爬取图片为例,利用HttpClient、JSoup、WebMagic框架以及线程池技术,实...
语音识别技术在慕课学习平台的应用探究
摘要:慕课学习平台的建设与应用正蓬勃发展,目前海量的视频学习资源只能按照学校名称或课程名称去搜索,学习者很难精准快速定位到具体知识技能点的讲课视频。基于语音识别技术来解决慕课学习中的痛点问题,帮助学习者快速精准搜索到目标视频,从而获得更好的...
基于MR(混合现实)技术的城轨车辆智能运维教学平台建设与应用研究
摘要:为了解决城轨车辆专业在智能运维教学中出现的实训设备几乎空白、教学效果不佳等问题,提出建设一种基于混合现实技术的城轨车辆智能运维教学平台。阐述了智能运维教学的背景,分析了混合现实技术用于城轨车辆智能运维教学的可行性,利用MR技术和计算机...
基于TF-IDF的贝叶斯模型的垃圾短信识别研究
摘要:手机收到垃圾短信已经是一种常态,严重影响了人们的日常生活。结合TF-IDF模型规则,提出了一种基于TF-IDF的贝叶斯模型,特征向采用随机提取的方式,之后进行统一的归一化处理,提高样本的辨识度,以此作为训练集生成对应的模型,最后实现垃...
基于BERT_DPCNN文本分类算法的垃圾邮件过滤系统
摘要:近年来,研究表明垃圾邮件已经出现在私人邮箱中,严重扰乱了用户体验。这也已成为各大通信公司的优先研究事项。基于传统的机器学习算法垃圾邮件过滤模型已经得到了充分的研究。随着研究人员在自然语言处理方面的深入研究,深度学习算法及其构建的模型表...
基于元学习的图像翻译算法
摘要:图像翻译是目前计算机视觉领域一个比较重要的方向,其目标旨在学习两个不同图像域之间的映射,同时保留原始图像的特征和语义。当今,无监督学习的图像翻译利用生成对抗网络和比较多的训练数据能够取得不错的性能。但现有的图像翻译模型是采用一种一次性...
基于AI+IoT的幼儿辅助看护系统的设计与研究
摘要:为了减轻家长对幼儿看护的压力,该文设计了一种基于AI+IoT技术的幼儿辅助看护系统。该系统采用摄像头连接手机终端对幼儿状态进行画面的实时监控,采用传感器对数据进行采集,并在软件平台上完成对数据的处理,进行可视化分析,最终实现对幼儿情绪...

数字媒体技术

平面视觉元素在网页设计中的应用探究
摘要:随着我国经济的发展,互联网技术也在不断发展,其中信息技术的作用显得更为突出,尤其在互联网平台上的网页设计技术,因为利用网页的一些优势性特点,在平面设计等不同的技术行业中有着重要的作用,网页设计已经在全球应用非常广泛,但在我国的网页设计...
教师数字胜任力提升模型的设计及构建
摘要:以网络为载体的智能时代来临,加之新冠肺炎疫情等外部环境的不断变化,使得教育领域面临着重大变革,突出表现在对教师数字胜任力要求的标准化和多元化。教师的数字胜任力不再是单一信息技术的运用能力,而是数字意识、数字交流、数字创造和数字安全等多...
基于超像素分割及区域聚类的单主体图像感兴趣区域提取方法
摘要:图像检索是在图像数据库中快速查找用户需求目标图像的有效方法。为了提高图像检索效率,针对单主体图像的感兴趣区域进行研究,提出了一种基于超像素分割与区域聚类相结合的图像感兴趣区域提取方法,首先对所给图像做灰度化处理,对灰度图像进行超像素分...
游戏引擎中事件和响应机制的研究
摘要:文章建立在抽象思维的基础上,对观察者模式进行了系统研究,并将这种良好的思维模式应用于实际的游戏引擎开发实例中。阐述了基于观察者模式的委托、事件、消息传递与响应的关系,实现程序中各类对象之间协同工作,弱化具体类之间的耦合关系,使得某些相...
视觉元素在PPT演示文稿设计中的运用分析
摘要:随着信息社会的不断发展,人们在进行工作汇报、产品展示、演讲报告等各种情景中大量使用PPT演示文稿来进行展示。PPT演示文稿展示更直观、更生动、更能吸引倾听者的兴趣。该文从文字、图形、色彩、编排方式四种视觉元素为出发点,具体分析其在PP...
“融入式”创新创业教育视域下高校数字媒体专业应用型人才培养模式研究
摘要:该文以应用型人才培养为切入点,着重分析了在融入式创新创业教育的背景下高校应用数字媒体专业应用型人才培养模式的现状,并分别从提升创业教育与专业教育融合的理念、优化创新创业教育课程体系、加强师资队伍建设、加大创新创业基地建设、构建质量评估...
电视制作播出系统IP化网络架构解决方案
摘要:随着电视节目清晰度提升,对制播系统的运行带宽和效率都提出了要求,如何利用先进的IP化网络架构提升电视制作播出系统的运行效率,推动电视节目制作播出质量的提升,需要加以重视。该文围绕电视制作播出系统IP化网络架构解决方案进行了研究。首先,...

工程应用

基于单片机的灯光节能控制系统设计
摘要:为了解决生活中灯光的能源损耗问题,该文研究设计一种基于单片机的智能光控系统,通过单片机结合LED照明技术、红外感应技术、光感技术等实现对照明设备的智能控制,实现对LED灯的自动开关、自动调节亮度等功能,且有自动和手动两种模式。系统结构...
空气比热容比实验仪的改进
摘要:针对大学物理热学实验空气比热容比测定中存在的问题,利用树莓派的运算、渲染能力以及丰富的音视频输出接口,使用高精度气压温度传感器BMP388传感器替代AD590温度传感器和扩展硅气压传感器对原有仪器改进。改进后的实验仪可实时采集数据并绘...
一个自动报警实验项目系统的设计与实现
摘要:该设计以单片机为核心,使用了多种传感器实现自动报警实验项目系统,在火灾或偷盗情况发生时,分别针对不同情况自动执行短信报警、声光报警、驱动风扇水泵等功能。主要流程为硬件选型、电路设计、编程,仿真、实物制作、数据测试,最终得到了系统可行的...
医疗废物全生命周期管理系统的设计与实现
摘要:近年来,伴随着互联网技术与医疗服务行业的深入渗透, 智慧医疗正深刻改变着医疗服务的理念和模式,尤其是在医疗废物管控领域中,数字化的采集、运输、处置模式充分实现了人员、设备、物资的可视化管理。但由于目前现有的医疗废物管理系统仍旧囿于不同...
基于多元感知技术的微环境异味气体监测系统
摘要:鲜活牡蛎在保活运输过程中因其微生物繁殖造成不同程度的异味气体累积,降低了其存活率及鲜活品质。通过多元异味气体感知技术构建面向牡蛎无水保活运输的异味气体监测系统,可实现保鲜箱内温湿度、氨气以及硫化氢气体浓度变化的监测与预警功能,以规范管...

交叉与综合

基于电商平台的消费者购买行为导向分析
摘要:在新时期环境下,科学技术得到了迅速发展,电子商务作为一种新型的行业类型,主要是借助先进的科技平台达到功能的实现。目前,人们更加喜欢借助电商平台来进行网购。为了获取消费者的关注,提升电商平台的竞争力,就需要把握消费者的购买行为,以此来为...
基于农业领域大数据关键技术应用的课程教学方案研究
摘要:我国作为农业大国,只有让农业得到充分的发展,才能扎实做好乡村振兴战略。在信息时代背景下,农业大数据的有效使用能快速推进现代化农业发展应用。农业大数据应用课程的开设就是基于此种契机,以提高学生在农业大数据综合运用能力为前提,培养学生成为...
对Magicad中支吊架技术的分析探讨
摘要:随着时代的发展和人们日益增长的舒适生活的需求,建筑越来越功能化、现代化。随之而来的是难度大大增加的机电设计和施工。Magicad有效地解决了机电综合管线碰撞问题和深度优化管线设计。文章详细介绍了Magicad其中一项优化技术——支吊架...

信息化与计算机教育

计算机学科教育中的课程思政建设探究
摘要:课程思政是当前高校教育中的一种新模式,旨在将思想政治学习和专业知识学习紧密联合,突出并强调“立德树人”的教育目标。计算机与信息技术迅猛发展,社会对高质量信息技术人才需求不断呈现,对高校计算机学科人才培养提出了新的要求。高校应针对计算机...
基于CDIO的电子信息类创新模组研究与构建
摘要:为应对产业发展对创新性工程人才的需求,“做中学”成为工程教育改革的战略之一。文章将“CDIO”教育模式融入电子信息类专业的课程体系和教学内容改革,通过构建“四横一纵”的层次化创新模组架构,在教学实施和认知提升两个维度上同步实施“CDI...
基于OBE教育理念的课程设计与实践研究
摘要: 基于OBE理念视角,围绕“目标-需求-过程-评价-改进“,构建以学生为中心、以学习结果为导向的课程设计,并结合网络教学平台实现线上线下混合教学。实践证明以学生为中心的OBE教学模式,能够充分调动学生学习的积极性与主观能动性,有效地提...
GIS专业C#程序设计课程中集合与泛型教学思考
摘要:针对C#程序设计中集合与泛型章节教学中存在知识点繁多、关联性差且实践要求高等问题,文章引入面向对象的思想,剖析泛型的由来及发展趋势,对集合与泛型知识点进行梳理,重新组织教学思路与结构,厘清知识点之间的相互关系。并通过改进课堂讲授方法,...
基于智能问答系统的网络教学交互研究
摘要:针对现有网络教学中师生交互效率低,教学系统难以达到高质高效教学效果的难点,文章提出了一种基于智能问答系统的网络教学交互系统。该系统通过允许学生/教师自定义聊天参与者,交互数据可沿用进入知识图谱,设置实时提醒以及未回答消息提醒,相关热门...
新工科背景下基于OBE的操作系统原理教学研究
摘要:在新工科教育改革的大背景下,该文分析了操作系统原理教学的现状,提出了基于OBE理念的操作系统原理课程的教学研究。以培养学生自主学习能力为目标,优化课程目标设计,梳理本课程的教学内容,探索“以生为本”的课堂教学模式,探讨“以生为本”的教...
3D打印技术在高职教育中的应用研究
摘要:随着3D打印技术在各行业的迅猛发展,将其与教育相结合也成为现实。文章主要探讨了3D打印技术在高职教育中的应用,分析了3D打印技术对高职教育产生的深远影响,促进了教学手段的多样化,有效激发了学生的学习积极性。 关键词:3D打印;高职教育...
新工科背景下《数据结构》课程实验教学改革探索
摘要: 为了应对新工科环境下计算机专业人才培养的挑战,文中以《数据结构》课程为例,探索了《数据结构》课程的实验教学改革方案。在分析该课程现有实验教学方案不足的基础上,提出了“项目驱动、线上线下、过程互动、创新培养”四位一体的实验教学新模式,...
课程思政背景下软件工程专业课教学改革探索
摘要:近年来各高校围绕“立德树人”的根本任务,在各类专业课中以柔和的方式引入“课程思政”,以一种潜移默化的形式对大学生进行思政教育将是专业课程教学改革的新导向。文章首先解读了“课程思政”的含义,然后论述了《软件需求工程》课程思政现状,最后提...
“互联网+”下智慧课堂的构建研究
摘要:随着“互联网+”的普及,智慧课堂这种新型教学模式成了教育教学研究领域的热点。智慧课堂以提升学生的智慧水平为最终目的,改变了传统的教学方式,充分发挥了现代信息技术的优势。文章探讨了智慧课堂的内涵,分析了智慧课堂的主要特征,并结合具体实例...
新工背景下应用型本科校企合作协同育人模式研究
摘要:针对新工科的背景下,现有应用型本科产教融合、校企合作人才培养模式存在人才培养目标定位不明、思路不清、合作不深入、校企双方满意度差等问题。该文以电子信息科学与技术专业为例,提出了必须明确人才目标、理清人才培养思路、甄选校企合作企业、引入...
人工智能课程中思想政治教育的探索与实践
摘要:人工智能课程的开设是满足信息技术发展带来的对于相关技术人才的需求,而人才的培养需要正确价值观的引领。通过将学生学习与神经网络学习进行对比,分析了在人工智能课程中开展课程思政教育的必要性和可行性。此外,提出了专业课程与思政课程的过程性融...
网络互联技术课程实践教学改革研究
摘要:随着我国对于计算机网络及其安全性的重视,《网络互联技术》课程应运而生。该课程定位为计算机科学与技术、信息工程和网络空间安全等相关专业本科生的实践必修课。目前国内大多数计算机网络教学中,都或多或少涉及网络互联的相关知识,但是在教学内容设...
新工科背景下数据库原理及应用课程思政教学路径探索
程思政的育人目标、课程特点等,深入挖掘课程思政元素,融入课程教学,提出了数据库原理及应用课程思政的实施方案,达到润物无声的育人效果。 关键词:新工科;课程思政;育人 中图分类号:G642 文献标识码:A 文章编号:1009-3...
新工科背景下微机原理课程混合式教学实践与思考
摘要:为满足当前新工科背景下应用技术型人才培养目标,确保微机原理课程教学满足学生未来发展需要,文章在明确新工科背景下微机原理课程教学目标的基础上,针对当前该课程教学现状及存在的问题,提出课前线上自学、课中课堂前测与课堂精讲、课后巩固与拓展延...
工程教育专业认证在《EDA技术》课程思政教学中的研究
摘要:传统的EDA技术教学已不能满足工程教育专业认证对本科人才的需求,在明确教学目标的基础上,提出“引、教、学”3个重点为主的教学模式,重构EDA课程的线上线下教学时间安排,把思政教学内容合理融入课堂,加强设计类项目的安排,把整个教学过程的...
课程思政在《Linux操作系统》课程中的应用研究
摘要:为了落实全国教育大会上立德树人的根本任务,以《Linux操作系统》课程为例,把思想政治工作贯穿教育教学全过程,深度挖掘专业课程思政育人元素,将思政教育与专业教育有机融合,通过“Linux发展史”“Vim编辑器的使用”“熟练使用目录操作...
师范生信息技术应用能力现状调查研究
摘要:随着国家教育信息化工作的不断推进,提高师范生信息技术应用能力,增强其信息素养迫在眉睫。研究采用问卷调查法、文献研究法等方法,对山东省高校师范生进行调查分析。通过数据分析发现,当前师范生信息技术应用能力在态度意识、自主能力以及行为技能三...
基于DELC模型的智慧课堂教学方法研究
摘要:项目式学习基于在真实情境下以驱动问题为导向,多学科知识整合而开展的一种新实用教学模式,注重培养解决问题的能力。以项目式学习为教学方法,在智慧课堂教学环境背景之下,通过结合深度学习模型,融合项目式学习的基本过程,研究和设计基于DELC的...
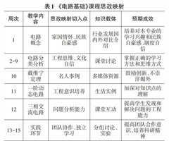
“新工科”背景下《电路基础》课程改革与实践研究
摘要:新工科背景下的课程改革要求以学生为中心,把学生能力培养水平和就业质量作为评价课程建设成败的决定因素。《电路基础》课程作为本科院校机电类专业的专业基础课程,虽然逐步引入混合式教学模式,但效果不尽如人意。为了提高新工科背景下《电路基础》课...
“1+X”证书的人才培养模式的研究实践——以云计算证书为例
摘要:为了适应国家经济转型,“1+X”证书制度被提出,这是构建职业教育制度一大创新制度。职业教育和培训体系的融合,培养高质量的复合型人才,根据企业岗位的实际需求来培养的毕业生必将有效地解决现在职业教育毕业生就业难的问题,更好地服务社会的发展...
民办高校动画专业项目制教学的研究与实践
摘要:动画专业的项目制教学一定程度上对接了企事业单位的人才需求,提升了动画人才培养质量,成为国内部分高校近年来主要探索方向之一。随着研究深入,诸如项目来源单一、项目质量不高、实践教学流程管理混乱等问题浮现出来。对动画专业项目制教学的工作流程...
面向新工科育人的操作系统实验课设计
摘要:针对操作系统实验教学缺少层次性、综合性和应用性的局限,提出以问题求解为导向的实验课设计。在教学组织上,设计线上课前预习、面向问题分析的课堂范例讲授、以问题求解为核心的翻转课堂、线上实验拓展和报告评阅等环节。在实验内容上,设置不同层次复...
建构主义在中小学信息技术教学中的应用研究
摘要:中小学信息技术是当前基础教育的重要课程,也是锻炼学生动手实践能力的重要途径。建构主义理论强调学生学习的自主性和探索性,与信息技术的课程实践有着一脉相承的关联性。基于此,文章从建构主义的基本观点与信息技术课程的教学现状出发,分析了建构主...
工程教育专业认证背景下《软件测试技术》课程改革与实践
摘要:按照工程教育专业认证要求,文章设计了软件工程专业移动互联网方向开设的《软件测试技术》课程教学目标、内容和考核评价方式等,贯彻以学生为中心、成果导向和持续改进的理念。经过一学期的课程改革与实践,各个课程目标的达成度均有所提高,对培养学生...
基于《数据库系统概论》模块化的目标分层课程体系构建
摘要:以新工科高等教育为背景,以应用型地方本科院校建设为前提,以模块化、分层教学目标方式,采用线上线下相结合混合式教学方式,构建面向全校不同专业、不同层次人才培养培养目标、具有针对性的、与社会需求相融合的《数据库系统概论》教学课程体系,满足...
相关杂志
  • 中国商论

    中国商论

    2025年23期
    ¥17.49
  • 中外建筑

    中外建筑

    2025年10期
    ¥9.90
  • 河南科技

    河南科技

    2025年22期
    ¥6.00
  • 海洋开发与管理

    海洋开发与管理

    2025年07期
    ¥21.69
  • 计算机应用文摘

    计算机应用文摘

    2025年24期
    ¥9.00
  • 社会科学研究

    社会科学研究

    2025年06期
    ¥9.00
  • 现代信息科技

    现代信息科技

    2025年22期
    ¥18.00
  • 湖南大学学报(社会科学版)

    湖南大学学报(社会科学版)

    2025年06期
    ¥12.00
  • 计算技术与自动化

    计算技术与自动化

    2025年04期
    ¥10.89
  • 中国调味品

    中国调味品

    2025年12期
    ¥0.00
  • 民主与科学

    民主与科学

    2025年05期
    ¥3.39
  • 中国民族民间医药·下半月

    中国民族民间医药·下半月

    2025年11期
    ¥9.69
订阅全年后,您可享受以下权益
①该本杂志即日起至未来1年内所有更新电子版杂志的使用权限;
②赠送该杂志的部分往期的杂志的使用权限,有效期1年。

全年订购价格: ¥756.00

订阅全年
--%>

登录龙源期刊网

温馨提示:

1.点击网站右上角的“充值”按钮可以为您的账号充值

2.充值金额可以选择30,50,100或500元

3.充值成功后即可购买网站上的任意杂志或文章

还没有龙源账户? 立即注册

购买杂志

电脑知识与技术

杂志价格:¥21.00元

  • 微信扫码支付
  • 当前余额:100.00

购买杂志

电脑知识与技术

杂志价格:¥21.00元

  • 微信扫码支付
  • 当前余额:¥100.00

    去充值
monitor
客服机器人