注册帐号丨忘记密码?
1.点击网站首页右上角的“充值”按钮可以为您的帐号充值
2.可选择不同档位的充值金额,充值后按篇按本计费
3.充值成功后即可购买网站上的任意文章或杂志的电子版
4.购买后文章、杂志可在个人中心的订阅/零买找到
5.登陆后可阅读免费专区的精彩内容
打开文本图片集
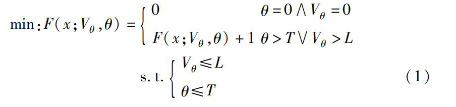
摘 要:机械制造中的产线分拣作业具有问题与数据的双重复杂性,为了对分拣操作进行优化以提高生产效率,设计了一套分拣作业的数据表示方法与一种基于种群优化的演化式算法,同时整理并公开了一个真实的工业数据集。数据表示方法通过借鉴词袋模型对原始作业数据进行抽象表示;演化式算法使用深度强化学习初始化遗传算法中的种群,同时引入了精英保留策略以提高算法的优化能力。(剩余14884字)
登录龙源期刊网
购买文章
基于深度强化学习种群优化的演化式分拣调度算法
文章价格:6.00元
当前余额:100.00
阅读
您目前是文章会员,阅读数共:0篇
剩余阅读数:0篇
阅读有效期:0001-1-1 0:00:00