榆林市黑豆产业高质量发展对策研究

打开文本图片集
中图分类号:S529 文献标识码:A 文章编号:0488-5368(2025)07-0111-07
Research on Countermeasures for High - Quality Development of Black Bean Industry in Yulin
GONG Qingshi ,ZHANG Xiaoling,LIANG Jibao,LI Rui, ZHANG Xia’,YANG Qinghua,FENG Baili (1.Agricultural Technology Extension Center of Shenmu,Yulin,Shaanxi 7193oo,China; 2. College of Agronomy,Northwest A&F University,Yangling,Shaanxi 7121Oo,China)
Abstract:Yulin is one of the main producing areas of minor grains in China. Among them,black bean is a significant crop that contributes substantiallyto the development of the local rural economy.Owing toits high nutritional,medicinal,and fodder value,the black bean industry holds considerable potential for future growth.However,its current overreliance on external sources has become a major constraint on sustainable development.Using the black bean industry in Shenmu City asa representative case,this study analyzes thecurent stateof black bean industry development in Yulin and proposes targeted recommendations to address the key challnges. These strategies aim to promote sustainable development and enhance the overall quality of the black bean industry.
Key words: Yulin;Black soya bean; Industrial development; Problem; Countermeasures
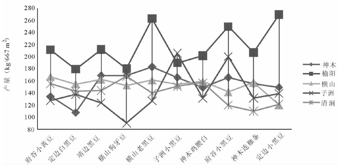
乡村振兴战略的实施不仅是推进乡村全面进步的引擎,更是中华民族伟大复兴征途上的关键一环[]。(剩余6368字)