注册帐号丨忘记密码?
1.点击网站首页右上角的“充值”按钮可以为您的帐号充值
2.可选择不同档位的充值金额,充值后按篇按本计费
3.充值成功后即可购买网站上的任意文章或杂志的电子版
4.购买后文章、杂志可在个人中心的订阅/零买找到
5.登陆后可阅读免费专区的精彩内容
打开文本图片集
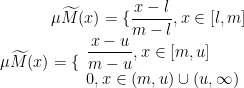
急倾斜矿体开采系统地质条件复杂、多物理场耦合、工艺参数敏感度高,且安全控制与资源回收相互制约,传统层次分析法(AHP)在处理专家判断模糊性及指标关联性方面存在鲁棒性不足和边界信息丢失等问题。三角模糊层次分析法(TFAHP)通过引入三角模糊数刻画专家判断的下界、最可能值和上界,从而显著提高权重计算的可靠性与灵活性[1-2]。(剩余2955字)
登录龙源期刊网
购买文章
基于三角模糊层次分析法的三角矿柱损失率影响因素研究
文章价格:4.00元
当前余额:100.00
阅读
您目前是文章会员,阅读数共:0篇
剩余阅读数:0篇
阅读有效期:0001/1/1 0:00:00