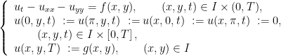
矩形域热传导方程逆时问题的一种正则化方法

打开文本图片集
关键词:不适定问题;热传导方程;逆时问题;正则化方法;误差估计DOI:10. 15938/j. jhust. 2025.04.016中图分类号:0241.8 文献标志码:A 文章编号:1007-2683(2025)04-0149-10
A Regularization Method for Backward Heat Equation on a Rectangular Domain
WANG Yu, SUN Wei (School of Science,Harbin University of Science and Technology,Harbin 15O08O,China)
Abstract:Aregularization method is proposed forthenon-homogeneous backwardheat equation withaspace-dependentsourceon atwo-dimensionalrectangulardomain.Thismethodisanextensionofaknownregularizationapproach.Firstly,theregularization problemisconstructedusingtheFourierexpansionofthesourceandterminalvaue,resultinginaregularizedsolution.Secondly, undersomepriorassumptios,otonlypriorstrategiesandposteriorstrategiesforselectingtheregularizationparameterareprovided, butheconvergenceofthemethodisdemonstrated.Finally,theefectivenessandfeasibilityofthismethodarevalidatedthrough numerical examples.
Keywords:il-posed problem;heatconduction equation;backwardheat problem;regularization method;eror estimate
0 引言
热传导方程反问题是一个重点研究方向,热传导方程作为描述物质内部温度分布变化的基本方程,其正问题已被深入研究,即通过已知的热边界条件和初始温度分布来预测未来的温度分布。(剩余9776字)