物联网技术

物联网技术

2024年01期
  • 收藏
收藏成功
微博 空间 微信
《物联网技术》杂志是经国家新闻出版总署批准的,目前国内唯一同时具有国际和国内CN刊号的物联网专业科技期刊。主要介绍基于物...     展开

类型

半月刊

类别

学术
定价
促销信息
全年订阅更优惠!
¥20.00 ¥12.00
目录

资讯博览

物联网产业视点(2023年12月)
AI 首个GPT-4驱动的人形机器人!无需编程+零样本学习,还可根据口头反馈调整行为 近日,东京大学和日本Alternative Machine公司发布最新研究成果——首个由GPT-4驱动的人形机器人。用户无需事先给机器人编程,只需语言输入...
新型超分子复合胶体敷料创造者
摘 要:本项目研发了一种新型聚乙烯醇联合葡聚糖负载生物抗菌微球医用敷料,用于创面愈合。该敷料以人工高分子和天然高分子材料为基质材料,通过微波冻融法辅助交联,并负载生物抗菌微球,制备具有抗菌性能、机械性能等特性的医用胶体敷料,能够有效地起到保...

学术研究

基于体域网的可穿戴式短跑运动状态监测
摘 要:采用多个可穿戴式MEMS传感器构成体域网,实时采集短跑运动员起跑、加速跑、途中跑、冲刺跑四个阶段的运动参数。通过陀螺仪传感器采集脚踝、四肢、身体前倾等姿态角,动态建模监测运动员的起跑姿态;通过加速度传感器解算得到运动员全程跑的变速过...
基于三色差值主成分分析的原位保存文化遗址轮廓变化检测方法
摘 要:针对原位保存的文化遗址预防性保护需求,提出了一种基于光照变化的三色差值主成分分析方法。该方法先将图像通过三色通道主成分进行分析;然后根据光照色差建立加权差值图像,结合阈值分割和形态学等图像处理手段,在保证不会破坏文物遗存环境的情况下...
基于STM32的三维空间无线定位
摘 要:为了在旷野无信号场景下实现对仪器的三维定位,本文提出使用STM32F407单片机作为控制核心,搭载GPS定位、无线通信、超声波测距模块等,设计了无线定位系统。测试结果表明,该系统对户外仪器定位误差较小,精度较高,能较好地满足应用需求...
基于蓝牙射频的智能防丢器设计与实现
摘 要:在现实生活中,人们经常有需要“找证件”“找耳机”“找钱包”“找钥匙”等困惑。为此,设计基于蓝牙定位技术的智能防丢器。智能防丢器设计采用STM32作为主控芯片,结合蓝牙模块、灯光闪烁指示和响铃指示,使用蓝牙接收信号强度指示(RSSI)...
基于物联网技术的设施农业环境监控系统设计
摘 要:通过使用消息队列遥测传输(MQTT)协议,将前端硬件、云服务器端及移动终端连接在一起,完成对设施农业环境的远程实时监控。在一个生态仿真箱里实现了智慧农业中的恒温恒湿系统,系统的前端硬件以ESP32为控制核心,由传感器模块、设备控制模...
基于车联网的交通预警系统设计
摘 要:为了解决车辆在交通路口闯红灯的问题,提出了一种基于车联网的交通预警系统。该系统由车载终端设备、路侧单元设备和一种基于车联网的交通预警机制构成。通过车载终端设备和路侧单元设备的信息交互,依据当前红绿灯的状态信息,判断是否需要向车辆发送...
基于Arduino与Blinker云平台的温室大棚环境监控及自动灌溉系统设计
摘 要:通过物联网技术对农业大棚进行环境监控及自动灌溉,能够提升农业大棚的管理效率。本设计采用Arduino单片机作为主控单元,使用DHT11空气温湿度传感器、Moisture Sensor土壤湿度传感器和GY-30光照强度传感器进行环境监...
基于自供电的低功耗电力设备监测系统设计与分析
摘 要:针对智能化电网的需求以及电力设备温度监测节点的电源问题,研发基于自供电的低功耗电力设备监测系统。利用热电转换模块将热能直接转换成电能,基于FEH710热电管理芯片设计能量管理电路为节点提供稳定电能,节点由温度传感器DS18B20、低...
基于Arduino的家居环境物联网监测系统的设计与实现
摘 要:为给居民提供一个相对适宜的生活与居住环境,通过引进Arduino,开发一种面向家居环境的物联网监测系统。以物联网作为支撑,设计系统友好登录、展示界面,集成开源电子硬件,设计监测系统架构。选择UNO R3 Arduino开源硬件、AI...
基于深度学习的变电设备铭牌文本提取算法
摘 要:变电设备铭牌数据管理对电力系统运行至关重要。在巡检设备中使用图像文本提取技术可以提高铭牌信息采集效率。然而,变电设备铭牌图像中存在多种文本提取难点,如文本多样性、背景多样性、图片质量多样性、形变多样性和排版多样性等。本文提出了一种端...
道路缺陷智能检测系统
摘 要:在交通大力发展的时代,过去修缮的道路部分出现了缺陷,例如裂缝和漏洞,但依靠现在的人工检测路面的方法费时费力。因此本文设计了一个道路缺陷智能检测系统,包含硬件小车和交互界面。小车由主控板树莓派3B+和摄像头传感器组成,负责采集图片数据...
基于神经网络的中药饮片识别系统的设计
摘 要:设计了一个基于神经网络的图片识别软件。首先通过拍摄、图像翻转等方法构建了中药饮片的数据集,并统一了格式和大小;然后利用卷积神经网络对数据进行训练得到中药饮片识别模型;最后将生成的模型加载到设计的程序中,实现通过手机摄像头拍照识别出中...
基于贪婪算法的树形WSN低功耗路由算法
摘 要:PEGASIS算法是无线传感器网络中的经典分簇算法,因其易于实现而被广泛应用,然而该算法通过单链进行数据传输的方式可能使单链上相邻节点距离过远,导致网络中部分节点能量消耗过快,进而缩短网络的生命周期。针对PEGASIS算法存在的问题...
城市供水行业物联网设备通信浅析
摘 要:随着NB-IoT、4G-CAT.1等物联网技术的迅猛发展,城市供水行业中物联网设备通信技术发生了巨大变革,但同时也存在着通信机制和协议混乱的现象。本文主要针对供水行业设备类型、安装使用工况、设备通信网络特点、平台应用和通信协议现状、...
混沌系统的有限时间间歇模糊同步控制
摘 要:为了在实际工程应用中节约控制成本,提高混沌系统的控制效率,本文研究了利用间歇控制策略实现驱动-响应混沌系统有限时间同步的问题。对于不确定驱动-响应混沌系统,利用T-S模糊原理,重新描述了混沌系统的不确定结构,并且设计了合适的模糊周期...
基于信息熵的CAN网络异常检测关键因素影响分析
摘 要:为了提升基于信息熵的CAN网络异常检测的准确性和时效性,探索研究了CAN报文信息熵计算关键因素对异常检测的影响程度。本文首先给出了CAN报文信息熵概念内涵以及基于信息熵的CAN网络异常检测计算步骤;然后,建立了CAN网络异常检测的准...
基于云平台的全向移动机器人控制系统设计
摘 要:为了适应在狭窄环境中自动化作业的需求,提高移动机器人工作效率,设计制作了一款基于云服务器的四轮全向移动机器人。结合四轮全向移动机器人的运动模型,提出了基于STM32F103为主控的运动控制系统;同时为提高工作效率,结合手机APP与云...
工业互联网标识解析技术在乳制品行业的应用研究
摘 要:伴随着国内乳业消费需求从“温饱型”向“品质型”跨越的新时代到来,数字化经济也推动着实体经济,特别是制造业向前稳步发展和变革。在乳制品行业国际化的背景下,市场变化迅速,对于消费者而言,个性化需求加剧,对产品安全的诉求更加强烈,要求产品...
智能家庭植株养护系统
摘 要:针对家养植物常常因为缺少照料而死亡的问题,创新性地采用物联网技术设计开发了一种基于STM32的家庭植物养护系统来提高家养植物的成活率。用户可通过蓝牙将手机与装置连接,通过手机APP设置植物养护所需的温湿度和光照条件,将温湿度传感器和...
便携式智能仰卧起坐计数器的设计
摘 要:目前,体育考试中常用的仰卧起坐测试仪普遍采用红外感应方式计数,导致测试仪对动作检测不灵敏、漏检率高。仪器要求学生严格适应测试仪器的检测方式,测试效果也有待改进。本文设计了一种基于MEMS姿态传感器的小体积智能仰卧起坐计数器。该设备安...
基于云平台集AI图像识别的水果病虫害巡逻车
摘 要:设计了一种图像识别水果病虫害的巡逻车,用于识别检测危害水果的严重病虫害,如苹果赤霉病、苹果黑腐病、樱桃(含酸味)白粉病、桃花菌斑、马铃薯早疫病和番茄菌斑病。系统以STM32F407ZGT6作为主控芯片,采用图像处理芯片Kendryt...
工业园区污水处理管控一体化系统
摘 要:污水处理管控一体化系统的开发,对于解决污水处理厂数据信息孤岛、环境管理和污染控制等问题有着非常重要的意义。通过对污水处理过程的实时监控和对现场设备的控制,动态协调能源动力和运行设备,实现对整个污水处理过程的控制和管理,消除现场控制层...
一种基于高压水射流机器人的物联网云平台系统
摘 要:基于高压水射流机器人的物联网云平台系统是在高压水射流机器人端配置云平台终端智能模块,该模块可将高压水射流机器人系统的数据实时上传到云平台系统。云平台系统对数据进行分析、归纳和总结,并以统计图表的形式呈现,可使机器人管理者更精确、客观...
基于FPGA的智能农场系统设计
摘 要:随着智能信息技术的不断发展,物联网技术在智慧农业中的应用也日益受到关注。本文基于国产芯片高云的GW2A-Tang Primer 20K型号FPGA,设计了一个物联网智能农场系统,旨在提高农业生产的效率和质量。系统通过网络节点和各种传...
基于ESP8266的智能灯光控制系统硬件设计
摘 要:智能硬件的广泛应用丰富了人们的工作与生活,常用的照明灯具在融入网络智能控制后变得更加灵动和方便使用。本文以使用率较高的EPS8266为处理核心,将照明灯光控制与WiFi网络结合设计了一款智能灯光控制系统。系统设计完成了硬件的器件选型...
YOLOv4-tiny模型在边缘计算平台的加速设计
摘 要:近年来,随着目标检测算法的快速发展,其模型规模也越来越大,在嵌入式移动端中部署时往往存在着功耗和时延等限制。针对此问题,采用输入输出通道的并行组合策略、数据定点量化、多通道数据传输等硬件加速方法,设计了一种基于FPGA平台的目标检测...
基于GIS的农业精细化管理系统设计
摘 要:在南通市智慧农业发展期和转型期,通过对生产主体开放管理平台和对现有物联网系统提供数据接口,实现市级农业生产经营数据的整合、管理和利用,根据不同使用者角色,实现多场景、多视角、全方位的可视化表达。本系统的开发实现了农业信息最大化整合,...
基于Python爬虫的招聘数据可视化分析
摘 要:网络求职是高校毕业生求职就业的主要方式之一。以BOSS直聘网站的相关数据为分析对象,使用Python爬虫技术爬取数据信息,通过ECharts可视化技术,对岗位需求、薪资情况和福利水平等数据进行可视化分析,将分析结果以可视化图表的方式...
基于uni-app的掌上污水处理系统的研究与应用
摘 要:为了提升污水处理的运营和管理效率,解决现有的污水处理厂存在的数量众多、管理困难、流程复杂和高度依赖劳动力等问题,利用uni-app技术并结合物联网技术,设计开发出同时适配Android、iOS和小程序的移动端污水处理系统,实现在手机...
盲人出行智能导航系统设计研究
摘 要:盲人的视觉缺陷给他们的日常生活带来诸多不便。为解决盲人出行中遇到的相关难题,本项目设计了盲人出行智能导航系统。系统由语音播报(及振动提示)导航系统、路障识别系统、求助系统及即时通信四大模块组成。通过红外传感器进行实时路况监测及避障,...
基于云端的车内环境监控管理系统的开发
摘 要:随着汽车的数量越来越多,一些特殊车辆的车内环境越来越重要,尤其是基于云端的车联网的数据采集非常重要,因此本课题设计了基于阿里云物联网管理平台的环境监测系统。以温湿度数据采集为例,系统包括硬件终端、阿里云IoT管理页面和用户后台管理系...
基于深度学习与计算机视觉技术的“浅水之星”方案设计
摘 要:近年来,随着国民经济水平的大幅提高,越来越多的个体养殖业开始引进智能化设备来提高生产效率。为适应上述应用需求,文章设计了一款基于深度学习与计算机视觉技术的“浅水之星”装置。该装置将目标锁定于鱼类投氧与水域施肥两方面,通过将深度学习技...
简单场景中基于计算机视觉的智能小车设计
摘 要:基于计算机视觉技术设计可在简单场景中自动行驶的智能小车,模拟真实场景,对保持行进路线、识别交通标志、控制小车运行状态等关键技术进行研究。给出主要硬件选型参考,使用图像处理技术和OpenCV开发库实现行进路线保持,使用深度学习框架识别...
基于WRF算法的制造装备质量缺陷分析系统开发
摘 要:生产制造环境复杂多变,制造装备在设计、制造、安装以及运行中不可避免地会出现质量缺陷,给生产带来实际困难。随着机器学习和互联网技术的发展,人们已经研究出多种基于故障树的缺陷分析方法,其中基于随机森林的决策树分类方法将缺陷分析转换为多分...
物联网技术在智慧图书馆空间管理领域的应用研究
摘 要:物品、设备、人员和系统等要素的数据共享、互联互通是实现智慧图书馆空间智慧化管理的关键。为此,本文将物联网技术引入智慧图书馆建设中,探索其在智慧图书馆空间管理领域的应用内涵和应用模式,并从智慧空间布局、智慧环境监测和智能座位管理三个应...
刀具自动补偿在泵配件机加生产线中的应用
摘 要:刀具磨损是泵配件柔性智能机加生产线中引起泵配件加工尺寸偏差的主要原因,也是影响泵配件产品合格率的主要因素。本文在分析泵配件车削刀具磨损的基础上,提出了一种在线刀具自动补偿算法。通过泵配件机加生产线上的比对仪在线实时检测工件加工尺寸,...
基于超声波检测与图像处理的导盲仪设计
摘 要:基于数字图像处理技术和超声波检测技术,提出了穿戴式导盲仪设计方案。采用嵌入式开发板作为主控单元,在提高导盲仪便携性的同时,减少导盲仪体积和重量。为解决复杂环境下红绿灯识别较难的问题,采用分类器算法分析红绿灯影像;采用标记分水岭算法识...
基于B/S的行政区划界线界桩地名信息系统设计与实现
摘 要:行政区划界线界桩是判定行政区域界线实地位置的重要法定标志物之一;地名信息是重要的地理信息和社会公共信息。但目前存在界桩巡查监管难度大、地名标准化和大众普及率不够高等问题。鉴于此,基于B/S架构,使用Vue渐进性前端框架、Expres...
基于物联网的光储微电网海水淡化系统的设计与实现
摘 要:物联网技术可实现系统的实时监管和科学管理,同时微电网技术是解决孤岛海水淡化供电的有效途径。为此,本文提出一种基于物联网的光储微电网海水淡化系统的架构,开展了系统硬件结构设计以及物联网工业云、ModBus、S7 0NLINE、WINC...
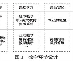
基于OBE理念的RFID原理与应用课程教学改革与实践
摘 要:为了提高RFID原理与应用课程的教学效果和质量,在分析了该课程的特点和现有教学实践中存在的诸多痛点问题的基础上,基于OBE教育理念,开展该课程的教学改革与实践,包括采用翻转课堂、理论与实践教学有机结合、开展校企合作创新人才培养、设计...
基于GUI的通信原理辅助教学平台设计
摘 要:利用MATLAB语言进行基于图形用户界面的通信原理辅助教学平台设计,将通信原理辅助教学划分为课堂教学与实验操作两个模块,实现信息量计算、信道容量计算、码型变换、二进制调制解调等功能。该平台界面友好、操作简单、可扩展性好,改善了传统教...
“互联网+”背景下物联网工程专业人才培养途径探索
摘 要:针对目前物联网工程专业的人才培养满足不了“互联网+”背景下的巨大需求问题,对物联网工程专业人才培养途径进行了探索。首先从不能紧跟技术的发展、不重视实践教学以及不重视就业创业能力的培养三个方面剖析了目前物联网工程专业人才培养存在的主要...
基于CDIO-OBE工程教学理念的单片机课程教学方法探究
摘 要:单片机课程是物联网技术等专业的核心课程,是多门学科的延伸和拓展。为培养学生的工程实践能力和思维创新能力,借鉴CDIO-OBE工程教育理念,以学生兴趣为抓手,重构教学内容,自制SPOC教学视频,丰富教学资源;采用虚拟仿真与实物制作相结...
相关杂志
  • 中国商论

    中国商论

    2025年23期
    ¥17.49
  • 中外建筑

    中外建筑

    2025年10期
    ¥9.90
  • 河南科技

    河南科技

    2025年22期
    ¥6.00
  • 海洋开发与管理

    海洋开发与管理

    2025年07期
    ¥21.69
  • 计算机应用文摘

    计算机应用文摘

    2025年24期
    ¥9.00
  • 社会科学研究

    社会科学研究

    2025年06期
    ¥9.00
  • 现代信息科技

    现代信息科技

    2025年22期
    ¥18.00
  • 湖南大学学报(社会科学版)

    湖南大学学报(社会科学版)

    2025年06期
    ¥12.00
  • 计算技术与自动化

    计算技术与自动化

    2025年04期
    ¥10.89
  • 中国调味品

    中国调味品

    2025年12期
    ¥0.00
  • 民主与科学

    民主与科学

    2025年05期
    ¥3.39
  • 中国民族民间医药·下半月

    中国民族民间医药·下半月

    2025年11期
    ¥9.69
订阅全年后,您可享受以下权益
①该本杂志即日起至未来1年内所有更新电子版杂志的使用权限;
②赠送该杂志的部分往期的杂志的使用权限,有效期1年。

全年订购价格: ¥144.00

订阅全年
--%>

登录龙源期刊网

温馨提示:

1.点击网站右上角的“充值”按钮可以为您的账号充值

2.充值金额可以选择30,50,100或500元

3.充值成功后即可购买网站上的任意杂志或文章

还没有龙源账户? 立即注册

购买杂志

物联网技术

杂志价格:¥12.00元

  • 微信扫码支付
  • 当前余额:100.00

购买杂志

物联网技术

杂志价格:¥12.00元

  • 微信扫码支付
  • 当前余额:¥100.00

    去充值
monitor
客服机器人