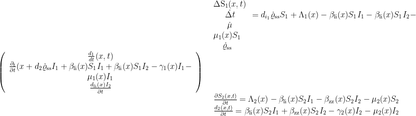
部分退化的反应扩散多群组传染病模型动力学

打开文本图片集
关键词:反应扩散模型;多群组;基本再生数;全局渐近稳定;一致持续性DOI:10.15938/j. jhust.2025.05.013中图分类号:0175.21 文献标志码:A 文章编号:1007-2683(2025)05-0124-11
Abstract:Basedonthespatialheterogeneityandthediferencesintherangeofhumanactivities,areaction-difusionmulti-group infectiousdiseasemodelwithpartialdegeneracyisintroducedandthetresholddyamicalbehaviorisdisusedusingthetoryof diferentialequatios.hstdyincludesthbasicproductioumber,eglobalasymptoticstabilityofthdiseasefrstadystate, diseasepersistence,ndtheglobalasymptoticstabilityof theendemicsteadystateinspatiallyhomogeeousscenarios.Finally,the principaltheoreticalresultsareeluidatedtoughumecalsimulatio,whichalsoexloreteimpactofdifusioncefintsdte intensity of spatial heterogeneity on disease transmission.
Keywords:reaction-difusionmodel;multi-group;basicreproductionnumber;globalasymptoticstability;uniformpersistence
0 引言
传染病的传播是一个非常复杂的过程,它与人群行为的差异性密切相关。(剩余14101字)