滴灌施氮联合生物炭对设施辣椒光合特性和产量的影响

打开文本图片集
中图分类号: S626 文献标志码:A 文章编号:1671-4652(2025)01-0132-09
DOI:10.16872/j.cnki.1671-4652.2025.01.015
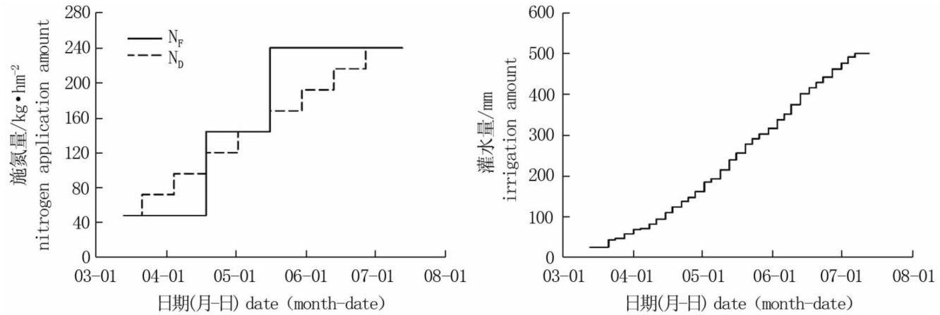
ABSTRACT: Inorder toclarifythe effectsofdrip nitrogenfertigation combined with biocharonthephotosynthetic characteristics and yieldoffacilitypepper.Atwo-factorrandomized block design wasused to study the effectsof water and nitrogen management treatments [furrow nitrogen fertigation (NF ),drip nitrogen fertigation (ND)] and biochar treatments [no biochar addition (B0) ,biochar addition (B1)] on yield,growth and photosynthetic characteristics of pepper by facility field experiment. The results showed that compared with NFB0 , NFB1 , NDB0 and NDBl increased dry matter accumulation rate of pepper during each growth period,resulted in increased yield,and NDBl increased the most 41.65% ). Meanwhile, NFB1 , NDB0 and NDBl increased leaf area per plant,leaf SPAD,net photosynthetic rate, stomatal conductance, maximum photochemical eficiencyandactualphotochemical eficiencyatthefullfruit stageof pepper,andreduced intercellular arbon dioxide concentration,resulted in improved plant photosynthetic characteristics,and the improvement effect of NDBl was the best. Pepper yield was significantly negatively corelated with leaf intercellular carbon dioxide concentration,and significantly positivelycorrelatedwith the other indexes mentioned above.In conclusion,drip nitrogen fertigation combined with biochar improved plant photosyntheticcharacteristics to promotepepper growth,resulted in increased yield,andthe improvement effectof drip nitrogenfertigation combined with biochar was greater than thatof solo drip nitrogen fertigation and biochar addition.
KEY WORDS: pepper; drip nitrogen fertigation; biochar; photosynthetic characteristics; yield
辣椒(CapsicumannuumL.)是我国重要的蔬菜作物,具适应性强、营养丰富、加工方式多样、附加值高等优点[1]。(剩余14666字)