商用汽车

商用汽车

2025年03期
  • 收藏
收藏成功
微博 空间 微信
《商用汽车》杂志是由中国机械工业联合会主管、北京卓众出版有限公司主办的,商用汽车行业综合性汽车期刊。杂志创刊于1981年...     展开

类型

双月刊

类别

汽车
定价
促销信息
全年订阅更优惠!
¥20.00 ¥12.00
目录

本刊特稿

2025上海车展有哪些“商用车”看点?
2025年4月23日-5月2日,第21届上海国际汽车工业展览会成功举办。本届车展以“拥抱创新共赢未来”为主题,展出总面积超36万 m2 ,吸引了来自26个国家和地区的近1000家企业参展,规模再创新高。但稍显遗憾的是,国内外商用车企业集体“...
佛瑞亚集团双线布局商用车新能源赛道:电气化与氢能双轮驱动
在全球汽车产业加速向低碳化转型的背景下,佛瑞亚集团(FORVIA)作为全球领先的汽车科技公司,正通过旗下佛吉亚绿动智行(氢能业务)与佛瑞亚海拉(能源管理业务)两大业务板块,在商用车新能源领域展开深度布局。在2025上海车展期间,佛瑞亚集团高...
ACE赋能、创新提速、生态共融:采埃孚的中国商用车创新方程式
ACEEmpowerment,AcceleratedInnovation,EcosystemIntegration:ZF'sInnovationFormulaforChina'sCommercial Vehicle Sect...

技术解码

潍柴大功率天然气发动机技术进化论
Amid global greentransitionand"dual-carbon"goals,Weichaileads high-power naturalgasenginedevelopmentafter26yea...

学术交流

无人驾驶车辆轨迹跟踪控制研究综述
摘要:本文以无人驾驶车辆轨迹跟踪控制为研究对象,首先分析了无人驾驶车辆的轨迹跟踪控制所需的车辆系统模型,然后分析了无人驾驶车辆常用的轨迹跟踪控制器的设计。通过分析发现,目前常用于轨迹跟踪控制的车辆动力学模型为单轨模型,应用LQR控制算法进行...
新动力系统与主动安全驾驶技术专利态势研究
摘要:本文分析了近10年的全球专利数据,探讨了相关技术的演进趋势、竞争格局及创新方向。研究发现:车路协同技术经历了从基础通信协议(如DSRC、C-V2X)到智能化融合(AI动态路径优化)的演进;AI决策技术从规则驱动向端到端深度学习发展,强...
多元交互教学模式在高职院校新能源汽车专业的应用与分析
摘要:面对新能源汽车产业智能化转型与技术迭代加速的挑战,传统教学模式难以满足复合型人才培养需求。通过构建“教师-学生-机器”多元交互矩阵教学模式,结合数字孪生技术实现虚实融合实训,开发动态知识图谱,并整合AR/VR工具构建高危场景安全训练体...
汽车白车身制造工艺同步工程解析
摘要:本文介绍了汽车白车身制造工艺同步工程的概念;分析了同步工程在汽车制造中的优势;列举了汽车白车身制造工艺同步工程的应用实例;最后,在自身多年积累的工作经验基础上对其进行了详细总结,指出同步工程技术的推广在促进我国从制造大国向制造强国转变...
基于智能制造的重卡制造工艺开发管理
摘要:随着科技的飞速发展,智能制造已成为制造业转型升级的重要方向。重卡制造作为制造业的重要组成部分,引入智能制造技术对于提升工艺开发管理水平、提高产品质量和生产效率具有重要意义。本文深入研究了基于智能制造的重卡制造工艺开发管理,分析了智能制...
汽车水性修补漆的施涂工艺与技巧分析
摘要;随着汽车保有量的持续攀升,汽车修补涂装市场不断扩大;同时,全球环保法规日益严苛,传统溶剂型汽车修补漆因含大量挥发性物质(VOCs),会给环境和人体带来危害,因此,逐渐被水性修补漆所取代。汽车水性修补漆凭借其环保优势,成为汽车修补涂装行...
汽车轮毂智能化与自动化工艺设计
摘要:随着汽车工业对轻量化、高精度及高效生产需求的不断提升,轮毂制造工艺正经历智能化与自动化转型。本文以汽车轮毂制造为研究对象,结合数字化设计、智能检测、柔性制造等关键技术,提出一种集成自动化生产线架构与数据驱动的全流程管理方案。通过分析传...
新能源汽车电机故障诊断及维修实践
摘要:电机作为驱动新能源汽车运转的核心部件,一旦出现故障不仅会造成车辆无法正常行驶,还可能引发安全事故。本文基于新能源汽车电机(永磁同步电机)工作原理,分析其故障诊断流程及方法,并以某国产新能源汽车电机故障现象为例,具体阐述其诊断方法和维修...
重型汽车变速器气动助力器设计分析
摘要:为持续优化重型汽车变速器的换挡性能,完善气动助力器设计布局,本文首先对气动助力器工作原理进行分析,随后从人机工程学、传动系统动力学等维度出发,深层次剖析其应用价值;最后提出行之有效的设计策略,包括采用模块化集成理念、完善结构设计部署,...
全球新能源商用车专利技术综述
摘要:新能源商用车已成为当前的一大研究热点。本文通过专利检索,对新能源商用车的全球专利申请趋势、技术分布、主要申请人、主要地区进行了分析,并对新能源商用车的重点专利进行介绍,期望能为行业技术发展提供参考。。...
汽车钣金表面修复工艺的实践与分析
摘要:在汽车工业发展如火如茶的今天,汽车钣金表面修复工艺作为有效的汽车维修技术,其修复效果直接影响着汽车的美观性、安全性。为此,探索汽车钣金表面修复工艺意义重大。故此,文章将探索汽车钣金表面修复的主要原理,分析汽车钣金表面修复的工艺流程,阐...
新能源轻型商用车转向系统适配设计与验证
摘要:随着新能源商用车的快速发展,电动助力转向系统 (EPS)因其高效节能、结构紧凑等优势,将可能逐渐取代传统的液压助力转向系统。本文分析了商用车电动助力转向系统的特点,根据助力电机装配位置的不同,将EPS分为3类,详细阐述了其工作原理及控...
从专利角度看电动重卡换电技术发展
摘要:本文从专利角度分析电动重卡换电技术发展,基于全球专利数据分析,探究重卡换电领域的专利发展态势,深入挖掘申请量、申请地区以及申请人相关变化趋势,同时梳理了三种主流换电技术路线的特点、代表企业及核心专利,以期为我国重卡换电技术高质量发展提...
新能源商用车仪表板骨架(CCB)轻量化技术综述
摘要:汽车仪表板横梁骨架(Cross CarBeam,以下简称CCB)的轻量化技术是当前汽车材料、工艺与结构创新的重点领域,已从单一材料替换升级为多技术融合的系统工程。本文对新能源商用车领域涉及的8种CCB轻量化技术进行系统梳理与论述,并以...
汽车车载网络系统故障诊断方法探究
摘要:汽车技术发展速度不断加快,车载网络系统应用日渐广泛。为保证系统健康稳定运行,就要准确把握故障问题,采用科学有效的故障诊断方法是非常必要的。故障诊断结果准确且诊断效率提高,汽车车载网络系统才能正常发挥其应有的功能,本论文针对汽车车载网络...
FANUC数控系统刀具寿命管理的应用
摘要:刀具寿命管理是FANUC数控系统的一项基本功能,在数控设备加工及自动化生产线运行中可以发挥有效的辅助作用,提高刀具的自动化管理水平。本文以数控设备为基础,通过刀具寿命管理功能的启用、设置和使用的全程操作,详细总结了应用该功能的步骤和方...
充电重卡和换电重卡的技术经济性分析及应用
摘要:在“双碳”目标带动下,重卡电动化已成为交通运输领域减排的关键举措。近年来,国内新能源重卡销量及渗透率均迅速提升,预计其电动化渗透率有望达到 30%~50% 的阶段性上限。政策是加速重卡电动化进程的重要催化剂。纯电动重卡作为新能源重卡的...
自动线机内去毛刺技术的研究与应用
摘要:本文对轮边、轮毂自动化线机内去毛刺技术进行了深入研究。首先,阐述了毛刺的形成机理及其对产品质量的影响;其次,介绍了传统机械去毛刺方法和现代去毛刺技术的特点及应用;最后,详细介绍了轮毂外圆车削飞边毛刺、铸造面钻孔翻边毛刺及轮边减壳钻削出...
新能源商用车能量回收控制研究
摘要:能量回收是新能源商用车节能的重要手段之一。本文介绍了能量回收的结构和原理,通过研究行车能量回收和制动再生能量回收的控制策略和回收效率,基于整车性能选择最佳的能量回收方式组合并进行控制优化,实现整车制动安全和节能,最后通过实车验证,确定...
探析人工智能算法在商用汽车物流路径规划中的应用
摘要:本文探讨了人工智能算法在商用汽车物流路径规划中的应用。商用车物流行业的传统路径规划方式存在效率低、成本高等问题,而人工智能算法将为其带来新突破。本文深入分析了其应用意义,涵盖提升运输效率、降低成本、提升客户服务质量等方面。同时,从数据...
基于BCD工艺的中低压全隔离片上DDSCR设计方法
摘要:随着静电防护能力逐渐被市场重视,传统片上ESD器件逐渐无法满足端口日益增长的ESD防护要求(注:ESD,用于静电防护的器件)。为了增强产品竞争力,提升片上ESD器件的能力势在必行,尤其是在汽车电子领域,以车载总线为代表的一系列针对衬底...
增材制造(AM)技术在矿用无轨电动车底盘设计中的应用
摘要:随着新能源汽车的快速发展,矿用无轨电动车的市场需求也在逐步增长;而矿用无轨电动车的核心零部件之一就是底盘。因此,本文提出了基于增材制造(AM)技术的矿用无轨电动车底盘设计方案,旨在在满足材料性能基础上,降低生产成本。本文分析了增材制造...
汽车紧固件抗疲劳性能提升技术研究
摘要:本研究着重关注汽车紧固件抗疲劳性能的提升技术,针对材料选择、表面处理、结构优化等多个方面的技术手段展开综合研究;借助理论分析、数值模拟以及实验测试等方式,深入剖析各因素对汽车紧固件抗疲劳性能的影响机制。研究结果显示,合理挑选高强度且高...
基于整车综合性能的液力缓速器匹配控制研究
摘要:近年来,随着重型商用汽车发动机功率及平均车速的提升,液力缓速器在长途运输类牵引车中的匹配占比 >80% 。目前液力缓速器的匹配以满足缓速器制动能力为主。本文基于整车辅助制动性能、经济性和噪声3个维度开展液力缓速器的匹配控制研究;...
商用车电驱动齿轮疲劳寿命优化方法研究
摘要:针对 6×4 电动牵引车电驱桥变速系统在高扭矩、频繁换挡条件下齿轮易发生疲劳失效的问题,本文建立了典型工况下的载荷输入模型,并基于20CrMnTi材料的S-N曲线与Miner线性累积理论,构建多工况疲劳寿命评估方法。通过有限...
智能驾驶新能源商用车感知系统中的目标识别精度提升方法研究
摘要智能驾驶车辆的环境感知系统是保障车辆安全行驶与自主决策的核心模块,目标识别精度直接决定了智能控制系统的运行稳定性。本文针对新能源商用车在城市复杂环境中运行所面临的感知精度瓶颈,构建了一套多源融合感知系统,围绕多传感器融合策略、深度学习识...
项目驱动教学法在《汽车设计》上机实验课中的应用
摘要:在《汽车设计》上机实验课中,积极应用项目驱动教学法,有助于发展学生思维,提高学生的动手能力和创新能力。教师应重视项目驱动教学法的应用价值,并结合实际情况,从多个层面优化教学,以此提高教学成效,促进学生全面发展。本文基于项目教学法的概念...
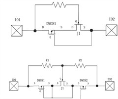
阻断型浪涌保护器(BSP)工作模式研究
摘要:本文应对汽车电子系统的严格防护要求,研究了阻断型浪涌保护器(简称BSP)工作模式与内部耗尽型N型 DMOS、PJFET工作状态之间的关系。通过模拟工具搭建一个耐压 600V, 触发电流 200mA. 恢复电压20V的双向BSP电路,并...
立式加工中心定位工装设计与应用
摘要:针对立式加工中心原定位工装采用四独立定位柱配合螺钉拉紧结构存在的稳定性欠佳、易变形损坏及定位精度失准问题,本文提出了一种整体式定位结构优化改进方案。改进方案基于原位定位柱安装底座,采用插补铣削工艺加工环形定位止口,替代原有的离散式定位...
相关杂志
  • 汽车与运动

    汽车与运动

    2025年10期
    ¥9.00
  • 汽车观察

    汽车观察

    2025年04期
    ¥21.60
  • 汽车纵横

    汽车纵横

    2026年01期
    ¥12.00
  • 专用汽车

    专用汽车

    2026年01期
    ¥9.00
  • 汽车与驾驶维修(维修版)

    汽车与驾驶维修(维修版)

    2025年12期
    ¥12.00
  • 时代汽车

    时代汽车

    2026年02期
    ¥18.00
  • 中国汽车市场

    中国汽车市场

    2025年05期
    ¥9.69
  • 车主之友

    车主之友

    2025年06期
    ¥18.00
  • 商用汽车

    商用汽车

    2025年05期
    ¥12.00
  • 名车志

    名车志

    2024年03期
    ¥15.00
订阅全年后,您可享受以下权益
①该本杂志即日起至未来1年内所有更新电子版杂志的使用权限;
②赠送该杂志的部分往期的杂志的使用权限,有效期1年。

全年订购价格: ¥144.00

订阅全年
--%>

登录龙源期刊网

温馨提示:

1.点击网站右上角的“充值”按钮可以为您的账号充值

2.充值金额可以选择30,50,100或500元

3.充值成功后即可购买网站上的任意杂志或文章

还没有龙源账户? 立即注册

购买杂志

商用汽车

杂志价格:¥12.00元

  • 微信扫码支付
  • 当前余额:100.00

购买杂志

商用汽车

杂志价格:¥12.00元

  • 微信扫码支付
  • 当前余额:¥100.00

    去充值
monitor
客服机器人