无人驾驶车辆轨迹跟踪控制研究综述

打开文本图片集
中图分类号:U461 DOI:10.20042/j.cnki.1009-4903.2025.03.001
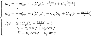
Abstract:ntisapertakingtetrajectorytracingotrolofmandicestesearchectfirstlytecete modelrequiredforthetrajectorytrackingcontrolofunmannedehiclesisanalyzed.Then,thedesignofthetrajectorytrackingcotroler commonlyusedinunmannedvehiclesisanalyzed.Itisfoundthatthevehicledynamicsmodelcommonlyusedfortrajectorytracking controlisamonorailmodel.TheselectionofQandRismoreimportantwhenaplyingtheLQRcontrolagoritmfortrajectorytracking control.Thepuretrackingalgoritmasagoodtrajectorytrackingeffctinlowspeedconditions.Lineartimevaryingmodelpredctive control has better trajectory tracking than nonlinearmodel predictive control.
Keywords:Unmanned vehicles;Trajectory tracking; Controllerdesign
(注:宜宾学院校级培育项目:《考虑侧倾稳定性的无人驾驶车辆模型预测控制》(基金项目),课题编号:2021PY19。(剩余4263字)