无线互联科技

无线互联科技

2025年18期
  • 收藏
收藏成功
微博 空间 微信
《无线互联科技》充分反映我国无线互联时代背景下,无线电电子、电信技术、计算机技术等领域前沿的研究与应用成果,本刊坚持技术...     展开

类型

半月刊

类别

学术
定价
促销信息
全年订阅更优惠!
¥40.00 ¥24.00
目录

电子通信

基于LMX2595的射频老炼宽带信号源设计
摘要:为满足射频老炼系统对输入信号源宽频带、低相噪的应用需求,文章以锁相环芯片LMX2595为核心开展宽带信号源设计。首先,阐述锁相环频率合成技术的工作原理,进而完成宽带信号源的硬件电路与软件程序设计;其次,通过搭建验证测试平台,对信号源的...
基于注意力机制的通信网络虚假数据入侵检测方法
摘要:在解决通信网络虚假数据入侵问题时,若仅利用卷积神经网络进行入侵检测,可能会因忽略数据相关性信息而导致最终F1值较低。因此,文章提出基于注意力机制的通信网络虚假数据入侵智能检测方法。针对通信网络数据流进行解析,划分不同类型的字段并对每个...
基于LoRa无线通信技术的农业温室环境低功耗控制方法研究
摘要:在对农业温室环境低功耗控制时,仅对温室静态功耗展开分析难以展现功耗的动态特性,导致方法的控制性能不佳。对此,文章研究一种基于LoRa无线通信技术的农业温室环境低功耗控制方法。该方法应用LoRa无线通信技术,实时监测农业温室的环境数据,...
宽窄带融合通信系统在消防应急救援中的运用研究
摘要:文章针对消防应急救援场景下的通信瓶颈,提出宽窄带融合通信系统解决方案。通过异构网络动态接入与智能资源调度技术,构建天地一体化立体覆盖网络,攻克传统单一制式通信系统的覆盖盲区与多业务并发难题。系统集成双模终端、智能中继节点与多源数据融合...
基于SRv6可编程技术的移动IPv6切换时延优化方法
摘要:传统的移动 IPv6 切换时延优化方法在网络规模扩大时优化效果有限,不能有效缩短切换时间,为此,文章提出了基于 SRv6(Segment Routing IPv6)可编程技术的移动 IPv6切换时延优化方法。文章分析移动IPv6切换时...

智能控制

基于人工智能的开放教育学生评价系统研究
摘要:随着教育强国建设的深入推进,开放教育作为提升全民素质的重要途径,其教学质量保障问题日益受到关注。文章针对开放教育中图片型作业的抄袭问题,提出了一种基于人工智能的学生评价系统。该系统利用图像处理和深度优先搜索算法,能够快速准确地识别学生...
基于人工智能和数据中台的高校图书馆精准阅读推广研究
摘要:文章构建了融合人工智能与数据中台的高校图书馆精准阅读推广服务平台。平台基于图神经网络(GraphNeuralNetwork,GNN)对读者兴趣和行为进行深度建模,实现个性化资源的精准推荐;同时结合生成式人工智能(Artificial ...
大型船舶陆试安全智慧管控系统的设计与应用
摘要:大型船舶陆上试验规模庞大,参与人员范围广,生产作业类型多,设备设施能量大而杂,单纯依靠人力难以实现对现场“人机环”的全方位、全时段管控。为解决这些难题,文章提出了大型船舶陆上试验安全智慧系统。该系统借助数据汇总分析、智能算法、感知技术...
基于改进A\*算法的仓储物流机器人路径规划研究
摘要:针对全局静态环境下,仓储物流移动机器人采用A\*算法进行路径规划时存在路径冗余点多、搜索效率低、转折角度大等缺陷,文章提出一种改进 A* 算法的仓储物流机器人路径规划方法。文章建立栅格形式的仿真模型并采用传统 A* 算法进行路径规划,...

软件开发

大数据驱动的流域水资源管理平台架构优化研究
摘要:文章旨在构建高效智能的大数据驱动流域水资源管理平台架构,采用数据湖仓一体化存储、分布式计算和实时流处理技术,设计了包含数据采集预处理、存储管理、分析挖掘和安全保障的五层架构体系。以东江流域为例进行验证,平台将洪水预报精度提升 59.4...
车辆重识别软件系统的模块化实现研究
摘要:车辆重识别软件系统的传统单体架构存在扩展困难和维护成本高等问题,因此,文章设计了基于模块化架构的解决方案,构建了包含特征提取、特征匹配、数据管理、用户界面等核心模块的分层架构体系,通过采用标准化接口来实现模块间的松耦合协作。在系统实现...
基于数据共享模式的电力交易辅助决策系统研究与设计
摘要;随着电力市场开放程度加深与交易复杂性持续加剧,交易决策的难度与挑战性显著提升,文章聚焦于基于数据共享模式下的电力交易辅助决策系统研究与设计,通过分析当前电力交易市场现状及其数字化转型需求,论证了电力交易数据共享对电力交易决策支撑的关键...
基于云计算的计算机网络安全存储系统设计
摘要:文章针对云计算环境下数据存储隐私泄露风险高、权限管控松散等问题,设计了一种基于云计算的计算机网络安全存储系统。文章采用 Xeon 8.0G 服务器、SQLSever2020数据库与B/S架构搭建了系统运行环境,功能涵盖身份认证、数据安...

研究创新

深度学习算法下计算机类课程教学资源自动推荐方法
摘要:协同过滤的教学资源推荐难以充分学习用户需求与资源之间的关联,导致生成的推荐列表准确度并不理想。为了缓解这一问题,文章提出了深度学习算法下计算机类课程教学资源自动推荐方法。采用 jieba分词工具得到教学资源的分词,通过词频的计算,筛选...
基于改进遗传算法的软件测试用例自动生成方法
摘要:传统的测试用例生成方法大多依赖于人工编写的方式,在大规模软件下难以保障生成效果。因此,文章提出基于改进遗传算法的软件测试用例自动生成方法。文章构建了一个基于路径覆盖的软件测试用例自动生成问题的数学模型,设计自适应遗传算子改进遗传算法,...
基于改进协同过滤的校企合作教育资源协同推荐
摘要;现有推荐方法性能较差,为此,文章研究了基于改进协同过滤的校企合作教育资源协同推荐。深度挖掘学生与教师的偏好与需求等多维度信息,构建用户画像。构建资源模型,结合关联规则挖掘,实现对校企教育资源的管理。运用改进协同过滤推荐方法,融合语义相...
基于关联数据挖掘的学评教辅助决策支持模型设计
摘要:由于现有学评教模型平均响应时间久,决策分析与解决(Decision Analysis and Resolution,DAR)值小,文章设计了基于关联数据挖掘的学评教辅助决策支持模型。模型运用关联规则挖掘算法获取评教数据的信息并运用多目...
多维数据台区画像的排灌台区用电预测方法
摘要:排灌台区用电历史数据复杂,若分析过程中未充分融合多源数据、分群方式单一,会降低预测精度。为此,文章提出基于多维数据台区画像的预测方法。文章整合气象、农业、电网3类数据构建台区多维特征画像,全面反映台区用电特征,运用模糊C均值聚类算法,...
基于改进RSA算法的远程教学平台信息加密存储方法
摘要:在远程教学平台中,利用平台采集图像的像素位置可能导致数据完整性较低,为此,文章提出基于改进RSA算法的远程教学平台信息加密存储方法。该方法对远程教学平台的数据信息进行转化聚类处理,以提取信息特征向量。提取的特征向量结合改进RSA算法,...
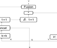
改进YOLOv7的卫星图像下舰舶识别检测方法
摘要;舰舶作为海上重要交通与军事工具,其卫星图像的自动实时识别意义重大。针对卫星图像中舰舶像素少、信息少导致的漏检、错检问题,文章提出改进的 YOLOv7小目标检测模型:引入Transformer思想,用CoTNeT重构主干网络,实现轻量化...

网络互联

基于图神经网络的工业物联网节点通信故障预测方法
摘要:工业物联网(Industrial Intermet of Things,IoT)中通信故障具有突发性与结构依赖性,提升节点异常状态的预测精度对保障IIoT系统的稳定运行具有重要意义。文章构建了基于图神经网络(GraphNeural N...
基于攻防演练的电力行业网络安全等级保护测评有效性分析
摘要:电力行业作为国家关键基础设施的重要组成部分,其网络安全防护能力的强弱直接关系到国家能源安全的稳定保障。然而,传统等级保护测评方法在评估电力系统实际防护能力方面存在明显的局限性,难以全面反映系统在真实威胁环境下的安全防护水平。文章采用定...
基于大数据的计算机网络流量安全态势感知方法
摘要:随着大数据时代网络安全的威胁愈加严重,传统的安全态势感知技术已逐渐无法满足实际需求。文章在深入分析大数据背景下网络安全隐患及关键技术的基础上,提出一种融合了大数据计算机网络环境下的恶意流量安全态势感知技术。基于该方案进一步完成相应的软...
物联网架构下高校后勤资源多目标调度方法设计
摘要:针对静态资源分配策略的资源调度效率较低问题,文章提出物联网架构下高校后勤资源多目标调度方法。通过划分资源可用域,计算资源相似度并聚合以增强资源管理适配性;构建深度强化学习算法下的优先级评估机制,结合资源效用、SLA及路径规划等量化指标...

智慧教育

人工智能驱动的高职医学信息技术教学数字化重构研究
摘要:在人工智能(Artificial Intellgence,AI)技术快速发展的时代背景下,研究聚焦高职医学信息技术教学重构,系统分析揭示了推动教学变革的四大驱动因素:国家政策提供制度框架、行业智能化转型提出人才新要求、数字技术与智能技...
“C语言程序设计”项目式教学数智化重构实践
摘要:针对高校“C语言程序设计”课程教学中长期存在的知识碎片化、实践孤岛化、评价单一化三大痛点,文章提出“图谱导航·角色赋能”数智化教学范式。通过深度融合动态知识图谱与多角色协同机制,重构"线上 + 线下”混合式教学流程...
基于VisualStudioCode-Al理念的“嵌入式系统原理与应用”课程教学创新与实践探索
摘要:树莓派凭借ARM架构及丰富接口资源,为学生理解微控制器通信、中断处理及时钟同步等底层原理提供实践平台,但传统开发模式面临调试效率低、代码不规范以及技术前沿性不足的瓶颈。为此,文章提出在“嵌入式系统原理与应用”课程中融入Visual S...
人工智能背景下“计算机基础”课程教学融合路径研究
摘要:文章探讨了人工智能(Artificial Intelligence,AI)与高校“计算机基础”课程教学的融合路径。当前,该课程存在内容滞后、教学方法单一、忽视学生个体差异及实践薄弱等问题。为此,文章通过增加AI前沿线上资源,设计融合A...
大语言模型全链赋能的“Python程序设计”课程教学新范式研究
摘要:在数字化战略与“两性一度”高阶育人要求的双重驱动下,传统“Python程序设计”课程面临任务驱动不足、思政融入生硬、创新能力培养乏力等瓶颈。文章提出以大语言模型(Large LanguageModel,LLM)为核心的“人工智能(Ar...
相关杂志
  • 中国商论

    中国商论

    2025年23期
    ¥17.49
  • 中外建筑

    中外建筑

    2025年10期
    ¥9.90
  • 河南科技

    河南科技

    2025年22期
    ¥6.00
  • 海洋开发与管理

    海洋开发与管理

    2025年07期
    ¥21.69
  • 计算机应用文摘

    计算机应用文摘

    2025年23期
    ¥9.00
  • 社会科学研究

    社会科学研究

    2025年06期
    ¥9.00
  • 现代信息科技

    现代信息科技

    2025年22期
    ¥18.00
  • 湖南大学学报(社会科学版)

    湖南大学学报(社会科学版)

    2025年06期
    ¥12.00
  • 中国调味品

    中国调味品

    2025年12期
    ¥0.00
  • 民主与科学

    民主与科学

    2025年05期
    ¥3.39
  • 计算技术与自动化

    计算技术与自动化

    2025年03期
    ¥10.89
  • 现代电子技术

    现代电子技术

    2025年23期
    ¥12.00
订阅全年后,您可享受以下权益
①该本杂志即日起至未来1年内所有更新电子版杂志的使用权限;
②赠送该杂志的部分往期的杂志的使用权限,有效期1年。

全年订购价格: ¥576.00

订阅全年
--%>

登录龙源期刊网

温馨提示:

1.点击网站右上角的“充值”按钮可以为您的账号充值

2.充值金额可以选择30,50,100或500元

3.充值成功后即可购买网站上的任意杂志或文章

还没有龙源账户? 立即注册

购买杂志

无线互联科技

杂志价格:¥24.00元

  • 微信扫码支付
  • 当前余额:100.00

购买杂志

无线互联科技

杂志价格:¥24.00元

  • 微信扫码支付
  • 当前余额:¥100.00

    去充值
monitor
客服机器人