注册帐号丨忘记密码?
1.点击网站首页右上角的“充值”按钮可以为您的帐号充值
2.可选择不同档位的充值金额,充值后按篇按本计费
3.充值成功后即可购买网站上的任意文章或杂志的电子版
4.购买后文章、杂志可在个人中心的订阅/零买找到
5.登陆后可阅读免费专区的精彩内容
打开文本图片集
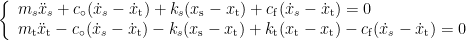
悬架系统作为汽车底盘的核心子系统之一,直接影响车辆的乘坐舒适性、行驶安全性及操纵稳定性[1]。
传统被动悬架参数固定[2],在复杂多变的行驶工况下难以兼顾性能需求。主动悬架具有优异的性能调控[3],但高昂的成本、复杂的结构和较高的能耗限制了其应用。半主动悬架系统在显著提升车辆动态性能的同时,兼具了结构相对简单、成本可控、能耗较低的优势,已成为可控悬架领域的研究热点[4]。(剩余4661字)
登录龙源期刊网
购买文章
基于CPO优化算法的半主动悬架控制策略研究
文章价格:4.00元
当前余额:100.00
阅读
您目前是文章会员,阅读数共:0篇
剩余阅读数:0篇
阅读有效期:0001/1/1 0:00:00