注册帐号丨忘记密码?
1.点击网站首页右上角的“充值”按钮可以为您的帐号充值
2.可选择不同档位的充值金额,充值后按篇按本计费
3.充值成功后即可购买网站上的任意文章或杂志的电子版
4.购买后文章、杂志可在个人中心的订阅/零买找到
5.登陆后可阅读免费专区的精彩内容
打开文本图片集
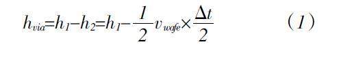
【摘 要】 超声波检测作为一种常用的无损检测技术,不仅广泛应用于半导体加工工艺环节,而且在管道无损检测领域发挥着重要的核心作用。文章研究和讨论了超声波检测在半导体工艺中的应用问题,希望能够帮助相关工艺技术人员理解超声波检测技术的应用原理和要点,帮助技术人员有效地解决目前半导体工艺在优化过程中的成本控制问题,全面提升半导体工艺检测的整体效率。(剩余4752字)
登录龙源期刊网
购买文章
超声波检测在半导体工艺中的应用
文章价格:4.00元
当前余额:100.00
阅读
您目前是文章会员,阅读数共:0篇
剩余阅读数:0篇
阅读有效期:0001-1-1 0:00:00