改性植物纤维制备生物降解薄膜的研究现状与展望

打开文本图片集
中图分类号:TB32 文献标识码:A 文章编号:2095-2953(2025)05-0004-05
Research Status and Prospects of Degradable Cellulose Film Prepared From Modifiedplant Fibers
LI Lu, WANG Jia-hui, CHEN Long,GAO Xu-dong,WANG Lu-he, ZHANG Feng-wei * (1.College of Mechanical and Electrical Engineering,Gansu Agricultural University,Lanzhou Gansu 73O7o,China; 2.Gansu Bangde Industrial Co.,Ltd,Wuwei Gansu ,China)
Abstract:The restof the plantfiber are naturalldegraded,resulting in a huge waste of resources.Plant fiber film is a special celllose film prepared by plant fiber, which can be decomposed by microrganisms in nature,thus becoming a degradable environmental protection film.This celllose film can be used in the fieldof crop mulching,and can effctively developand use plant fiber resources,and thedegradation productsare notharmful to soil and crops. Through the modification of plantfiber,itcan further enhance thestrength,wear resistance,acidandalkali resistance,oxidationresistanceand service lifeof plant fiber,and significantlyimprove thethermal decomposition ability offiber,which can make it maintain stable performance in high temperatureenvironment.In this paper,three plant fiber modification methods(chemical modification,physical modification,biological modification)and theirresearch status are reviewed,the existing problems are analyzed,and their development prospects are prospected.
Keywords:plant fiber;cellulose film;fiber modification
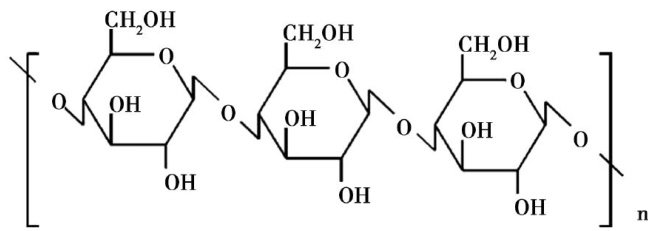
植物纤维是一种含有纤维素、半纤维素和木质素的物质,主要的植物纤维有:棉花、麻、黄麻、亚麻、蕉麻、剑麻、赫纳昆麻、椰子皮等。(剩余7278字)