注册帐号丨忘记密码?
1.点击网站首页右上角的“充值”按钮可以为您的帐号充值
2.可选择不同档位的充值金额,充值后按篇按本计费
3.充值成功后即可购买网站上的任意文章或杂志的电子版
4.购买后文章、杂志可在个人中心的订阅/零买找到
5.登陆后可阅读免费专区的精彩内容
打开文本图片集
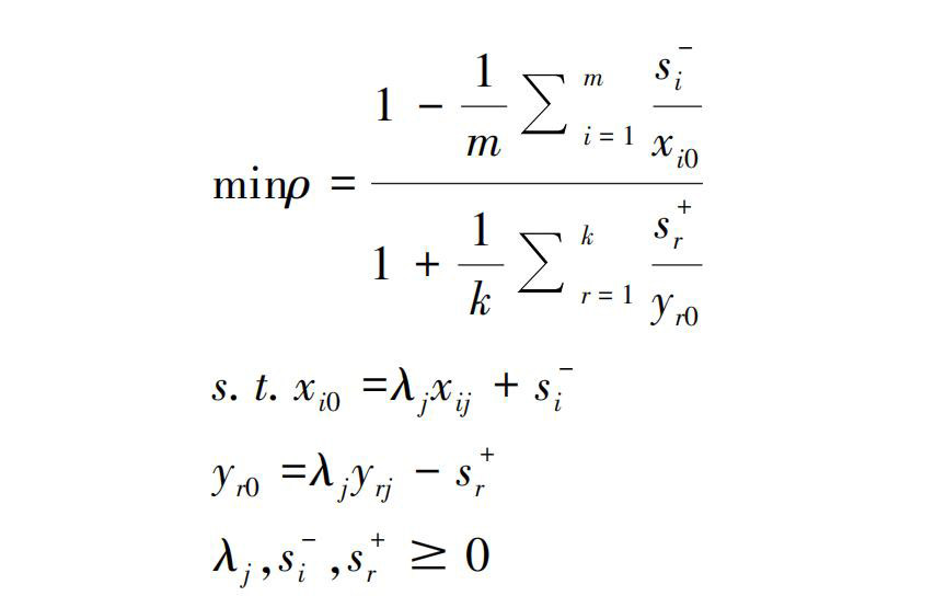
摘要:运用DEA-SBM模型法,研究江苏省建筑业效率特征,为大学生精准择业提供依据,结果表明:江苏省建筑业综合效率偏低,苏州和南通建筑业生产达到有效;江苏省建筑业无效率主要由产出无效率决定,整体无效现状为大学生发挥专业优势、学以致用提供条件;各地级市建筑业效率水平受纯技术效率或规模效率影响各异,为大学生就业方向提供了多样选择。(剩余9142字)
登录龙源期刊网
购买文章
基于江苏省建筑业效率分析的大学生择业策略研究
文章价格:5.00元
当前余额:100.00
阅读
您目前是文章会员,阅读数共:0篇
剩余阅读数:0篇
阅读有效期:0001-1-1 0:00:00