注册帐号丨忘记密码?
1.点击网站首页右上角的“充值”按钮可以为您的帐号充值
2.可选择不同档位的充值金额,充值后按篇按本计费
3.充值成功后即可购买网站上的任意文章或杂志的电子版
4.购买后文章、杂志可在个人中心的订阅/零买找到
5.登陆后可阅读免费专区的精彩内容
打开文本图片集
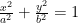
在解答直线与圆锥曲线问题时,我们经常会遇到一类有比例关系的弦长问题:过点 P 的直线与椭圆(204 相交于 A(x1,y1),B(x2,y2) 两点,且 ,求直线 AB 的方程、弦 |AB| 的长等.解答这类问题的常规方法是联立直线与圆锥曲线的方程,运用韦达定理、定比分点公式、弦长公式求解.但(剩余2073字)
登录龙源期刊网
购买文章
运用定比点差法解答直线与圆锥曲线问题的步骤
文章价格:3.00元
当前余额:100.00
阅读
您目前是文章会员,阅读数共:0篇
剩余阅读数:0篇
阅读有效期:0001/1/1 0:00:00