科技创新与应用

科技创新与应用

2024年36期
  • 收藏
收藏成功
微博 空间 微信
《城市管理与科技》杂志是由北京市市政市容管理委员会主管,北京市市政管理委员会信息中心主办的在全国公开发行的行业性综合期刊...     展开

类型

旬刊

类别

学术
定价
促销信息
全年订阅更优惠!
¥30.00 ¥18.00
目录

创新前沿

安防系统效能评估中视频探测概率研究
摘 要:科学的效能评估是衡量安全防范系统有效性的重要手段。安全防范系统对于非法入侵人员的探测概率是影响其安全效能的重要因素。然而,在大多数模型与场景中仅仅将视频监控设备作为报警复核装置,未考虑其对入侵人员的主动探测概率。该文在充分考虑目标...
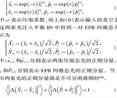
连续变量测量设备无关的量子直接通信
摘 要:经典通信的安全性依赖于加密技术,并且密钥的私密性决定了通信的安全性,但这种安全性会受到计算能力爆发性增长的威胁。在量子密码学领域,量子安全直接通信提供一种新的通信模式,能够将秘密信息调制在量子态上并在量子信道中直接传输,其安全性由...
多异构平台动目标ESM无源多机协同定位算法
摘 要:电子支援侦查(ESM)能够在不开启雷达等有源传感器的情况下对探测目标进行无源定位,在侦查场景中能够发挥巨大作用,然而对于复杂的地面环境,雷达等传感器的信息转瞬即逝,很难有连续的目标信息。该文针对多异构平台动目标ESM无源多机协同定...
基于H2O自动化机器学习的电动自行车交通违法行为影响因素分析
摘 要:随着电动自行车保有量的逐年增长,电动自行车交通事故死亡人数占交通事故总死亡人数的比例在不断增加,在此背景下,探究电动自行车违法行为影响因素对降低事故率和事故严重程度具有重要意义。该研究使用厦门岛内电动自行车违法行为数据,基于H2O...
机械喷丸成形对施加预应力试片的影响
摘 要:该研究探讨机械喷丸成形技术对施加预应力试片的影响。通过一系列实验,研究不同喷丸参数对试片的表面硬度、残余应力、微观结构以及疲劳寿命的影响。结果表明,喷丸处理显著提高试片的表面硬度和残余压应力,同时导致材料晶粒的细化,从而显著提升材...

众创空间

基于Pathfinder的多出口地铁站疏散效率优化研究
摘 要:针对地铁运营阶段的安全疏散问题,统计某多出口地铁站的物理参数并获取CAD图纸,使用Pathfinder软件生成多出口地铁站模型,并针对正常人流量以及早晚高峰流量进行客流疏散仿真模拟。研究结果表明,乘客从多出口地铁站疏散的过程中,并...
基于多场景构建的城市雨涝预测预警模型设计及应用
摘 要:为深入探讨城市内涝原因,有效解决内涝问题,实现提前预警,建立系统化防控体系,提出基于多场景构建的城市雨涝预测预警模型,评估排水系统排水能力和内涝风险,提升城市对内涝灾害的应对能力,减少对社会和经济的影响。该文以广东省某城市街道为例...
基于单片机的家居环境监测器设计研究
摘 要:该文提出一套基于单片机的家居环境监测器的设计方案。以STC89C516单片机作为主控模块,使用霍尔传感器、盖革计数管和甲醛传感器作为数据采集模块,实时获取室内电磁辐射强度、电离辐射剂量率和甲醛浓度的监测数据,并通过GPRS通信模块...
低电压预警监测智能决策系统设计与实现
摘 要:为解决目前多系统数据难融合、低电压研判不准确、低电压问题难根治和治理效率低等问题,该文搭建基于大数据挖掘技术的低电压智能分析预警诊断模型。构建基于多任务辅助学习的全景感知低电压监测模型,实现高效、准确的电力客户分群与低电压成因分析...

实验报告

基于压缩感知的疲劳驾驶脑电信号监测方法
摘 要:脑电信号可用来有效地判断驾驶员是否疲劳驾驶,为减少驾驶人员驾驶过程中脑电信号的采集量,在信号采样端采用离散余弦基对驾驶员的脑电信号进行稀疏化,然后通过伯努利矩阵把稀疏的高维信号压缩采样成低维信号,最后在车上电脑端利用基追踪降噪法把...
多指标综合评价结合层次分析法优化龙江道地药材防风炮制一体化工艺
摘 要:优选黑龙江地产药材防风产地加工与饮片炮制一体化(简称“一体化”)工艺。采用正交试验法对鲜防风饮片烘干温度、切片厚度、烘干时间3个因素进行考察,以醇浸出物、升麻素苷、5-O-甲基维斯阿米醇苷和防风多糖含量为考察指标,通过综合加权评分...
基于机载激光雷达技术的超高压电力工程巡检研究
摘 要:该文探讨基于机载激光雷达技术的超高压电力工程巡检方法,以解决传统巡检技术在电力工程中存在的局限性。首先,对机载激光雷达技术进行全面的介绍与分析,包括其原理、优势和应用范围。其次,针对超高压电力工程巡检中存在的难点和问题,提出基于机...
基于Simulink的锁相环仿真模拟研究
摘 要:锁相环作为常用的相位跟踪元件,其性能对电力系统中大量设备有重要影响。该文在MATLAB的Simulink平台中搭建锁相环仿真模型,对模型的稳定条件进行分析。并在标准电压、含谐波电压和三相不平衡电压输入下对该模型响应进行仿真模拟,得...
小型水电站电气设备预防性试验
摘 要:预防性试验是确保电气设备长期可靠运行的关键措施。基于此,该文分析小型水电站电气设备的主要类型,分析这些设备在运行过程中遇到的问题,详细介绍预防性试验的必要性,强调通过定期试验及时发现设备潜在的故障隐患,从而避免重大事故的发生。在试...
基于改进蚁群算法的办公区火灾疏散路径优化研究
摘 要:火灾发生时,传统的疏散路线往往是固定的,不能根据火情实时调整,这可能会导致逃生人员被引向火源,增加逃生的危险性。改进蚁群算法(IACO)应用于火灾疏散路径动态规划,通过优化启发函数和信息素更新方式,提升全局搜索能力和疏散效率。结合...

研究视界

基于层次分析法的光储电站储能AGC调频性能评估
摘 要:为提升储能参与电网调频的性能,通过对光储电站内储能的特性进行测试和研究。设计AGC动态变化指令,分别在阶跃扰动和连续扰动工况下,对储能系统调节速度、调节精度和响应时间等指标进行观测。更进一步地构建储能AGC调频效果的综合评价方法,...
抽水蓄能电站工程地震次生灾害及应急处置措施研究
摘 要:为了分析研究抽水蓄能电站工程地震次生灾害对枢纽建筑物、机电设备以及人员等的影响,结合抽水蓄能电站典型工程建筑物枢纽布置方案、工程区地震地质条件、以往受震工程实例,对抽水蓄能电站工程地震直接灾害和次生灾害进行辨识和分析,并根据分析结...
多水库防洪优化模型在宁夏清水河水库系统中的应用研究
摘 要:面对复杂多变的自然环境和日益增长的防洪需求,宁夏清水河流域的水库系统面临着防洪供水及灌溉等多重挑战。为了有效应对这些挑战并优化资源配置,该文构建一个多目标优化模型,旨在分析并平衡不同目标间的冲突,特别是在防洪与灌溉之间的权衡。模型...
基于高分三号雷达影像的洪水淹没监测及影响评估
摘 要:该文基于北江流域2024年2号洪水发生前后的4景高分三号雷达影像数据,采用单阈值法提取6处重点区域高精度水体范围,并利用多时相变化检测方法提取洪水淹没范围,结合主要江河水文站点雨水情监测数据,动态分析洪水淹没情况,并利用全国自然灾...
洪水漫闸后泄洪建筑物及设施的检查与评价
摘 要:洪水漫闸后,泄洪建筑物及设施可能受到一定程度的影响,通过分析泄洪建筑物及设施检查内容和方法,以便充分了解泄洪建筑物和设施存在的缺陷,合理评价其安全状况。该文以贵州某水电站为例,通过不同的检查方内容和方法,总结泄洪建筑物及设施出现的...
矿山生态修复EOD模式下产业导入路径研究
摘 要:在矿山修复项目中,EOD模式正逐渐得到认可和应用,但同时也出现一些问题,如产业匹配性差、带动能力不足,较多项目未对矿山生态修复与产业导入融合发展进行深入研究。通过对EOD模式下矿山修复类产业导入进行总体框架、案例解析、导入模式和实...
面向供电保供服务的安徽省春节人口流动大数据分析
摘 要:为做好春节电力保供和优质服务工作,辅助企业科学研判、精准调度、靶向发力,保障居民安全可靠用电,该文融合电力和通信数据,提前预测人口流动时空分布对配网运行和供电服务影响,一是通过“动态属性”的通信数据和“静态属性”的电力用户电量来构...
国外某工程坝基岩体力学参数不同获取方法的差异分析
摘 要:在水电工程勘察中,坝基岩体/结构面抗剪参数是设计专业计算坝基稳定性所必不可少的。该文以国外某水电站为例,通过对复杂地质条件下坝基岩体分类、力学参数提取等方面与国外公司进行对比,深化水电工程坝基岩体抗剪/断强度参数提取认识,了解国外...
富水砂卵石地层盾构下穿既有房屋结构的扰动沉降特征及控制技术
摘 要:砂卵石地层是力学不稳定地层,富水砂卵石地层盾构近距离下穿建(构)筑物工程易引起地层损失和围岩扰动。该文采用数值模拟和现场试验方式开展富水砂卵石地层盾构下穿既有房屋结构的地面扰动沉降规律研究,研究结果表明,下穿过程中,盾构隧道掘进先...
软土地层隧道盾构掘进对地表沉降的影响研究
摘 要:为保证隧道建设安全,以济南市某地铁隧道盾构工程为研究背景,应用理论分析结合现场监测,对软土地层隧道盾构掘进对地表沉降的影响及预控措施进行研究,结果表明,在隧道盾构掘进过程中,地表沉降整体随着时间推移逐渐增大,表明地表沉降变化量数值...

设计创新

基于ZigBee技术的机械设备状态监测系统设计与实现
摘 要:为实现机械设备运行状态的实时监测和故障预警,设计基于ZigBee短距离无线通信技术的机械设备状态监测系统。该系统通过数据采集模块获取机械设备的电流、振动、温度等状态信号,经ZigBee无线模块的终端节点和协调器节点将信号上传至上位...
基于STM32微控制器的动力电池安防系统设计
摘 要:动力电池具有易燃、燃烧气体有毒、电压高等特点,为保护动力电池实训场地设备及人身安全,设计动力电池安防系统。系统采用STM32微控制器,配备传感器、声光报警等装置,该系统能实时、远程监测动力电池状态及周边情况,及时、有效防止动力电池...
以用户体验为导向的易清洁燃气灶设计研究
摘 要:该文将“以人为本”设计理念运用于易清洁燃气灶创新设计。综合运用线上问卷调研、地域文化细致剖析及入户实地观察等方法,旨在开发出更加符合中国用户需求的燃气灶产品。研究结果表明,无接水盘设计及内倾斜15°炉架的引入,显著提升产...
医学高校图书馆智慧信息服务系统设计与实现
摘 要:该文探究面向医学高校的图书馆智慧信息服务系统的设计要点与功能实现。该系统融合RFID技术、XML技术和SQL Server技术,可提供图书的精准定位、智能盘点、自助借还等基本功能,以及智能推荐、图书预定等个性化服务。基于安全性考虑...
基于大数据的水电厂监控系统辅助决策功能研究与设计
摘 要:随着电力数字化改革进程加速和设备不断的技术改造升级,水电厂监控系统接入的各类设备“三遥”数据不断增加。海量监控数据产生后若能够加以二次开发利用,将进一步发挥数字财产的价值。该文研究并设计基于大数据的水电厂监控系统辅助决策功能。通过...
电能计量在线监测模型设计探索
摘 要:为准确实时定位计量故障,保障电网安全运行,提升经济效益和社会效益。通过分析电能计量装置管理需求,设计电能计量在线监测设计方案,搭建以异常信息生成模块、消缺模块及专项分析模块为主体的电能计量装置在线监测模型。建立分钟级海量采集数据的...

方法创新

考虑土性空间变异特征的智能地层划分方法
摘 要:同一土层中的岩土参数会随着位置改变而变化,在一定距离范围内存在一定程度的相关关系,该相关性随着距离的增大而衰减,直至不相关。地层划分是岩土工程勘察设计的重要内容,在地层划分中应考虑土性的空间相关性,且有必要提高地层划分的智能化程度...
桥梁桩基夹泥成因分析及处理措施研究
摘 要:桥梁桩基是桥梁的重要部位,其质量好坏直接影响到整座桥梁的工程质量,而桥梁桩基夹泥是桥梁工程一直存在的重难点问题。该文首先根据旋挖钻成孔和冲击钻成孔2种常见桩基成孔工艺分析桥梁桩基夹泥的成因,基于现场条件及缺陷位置总结桥梁桩基夹泥的...
精细物探方法在岩溶区公路桥基选址中的应用
摘 要:该文以精细物探方法——地震波CT法在岩溶区公路桥基选址中的应用为研究主题,首先对岩溶地区的特殊地质环境进行分析,阐述岩溶地区地质条件的复杂性和不确定性。然后详细介绍跨孔地震波CT法在岩溶区公路桥基选址中的具体应用。通过实际工程案例...
基于虚拟惯性注入的发电厂负荷减流优化方案
摘 要:在当今时代,电力系统是日常生活中的关键部分。为保证电力系统运行稳定,该文首先利用虚拟惯性注入方法,模拟出电力系统的惯性特征。其次,建立约束条件,以此保证电力系统的稳定性,为后续负荷减流提供基础。最后,构建负荷减流优化模型,实现发电...
BIM技术对综合医院给水排水工程的优化探究
摘 要:综合医院在体量及特点上,与其他类型建筑不尽相同,为研究综合医院的给水排水工程在施工过程中的优化,以BIM技术为基础,建立综合医院给水排水专业三维模型,对模型拆分并深化为设备、管道及管道末端三大管理流程模块,进而细化为10个BIM应...
电力搭载无人机轻量化应用模式策略研究
摘 要:无人机在跨行业整合新兴技术方面具备独特优势,高效应用无人机轻量化模型自主巡检,及其更具专业特征的科学搭载诊断检测方法,实现一机多目标、多任务提升飞行效率,拓展实际工作需求,为电力企业智能运检及AI运维服务提供新的解决方案,与此同时...
高压开关柜典型故障分析与防范对策研究
摘 要:变电站10~35 kV高压开关柜的故障时有发生,为此通过实际案例,分析其故障原因。认为绝缘材料老化、柜内湿度超标导致凝露和导电回路接触电阻增大致使温度过高是造成开关柜故障的内部主要原因,而雷电过电压和弧光接地过电压则是导致开关柜故...

技术·应用

智慧建造技术在项目质量安全管理中的应用
摘 要:传统的质量和安全管理方式,一方面无法覆盖管理的广度,另一方面较为依赖项目管理人员的素质。随着智慧建造技术的兴起,如BIM技术、虚拟现实技术、智慧工地平台技术等,在项目质量及安全管理中发挥显著的作用。该文通过对智慧建造技术在项目质量...
闭式整体叶轮电火花加工技术研究
摘 要:为提高叶片型面成形精度,降低能源消耗,该文首先针对当前闭式整体叶轮加工面临的挑战与难点,介绍闭式整体叶轮结构特点与加工要求。其次,研究闭式整体叶轮电火花加工技术原理及特点。最后,以直径为550 mm的大型闭式整体叶轮为例,从加工条...
型钢悬挑式钢管外脚手架在高层建筑中的应用研究
摘 要:为保证高层建筑的施工安全,结合高层建筑的设计图纸,完成悬挑脚手架脚手技术设计。型钢悬挑式脚手架的搭设高度和跨度对施工安全有很大的影响,为了保证高层建筑的施工安全,需要对脚手架的技术参数进行合理性分析,选择合理的施工设备后,按照施工...
超宽幅空心板梁桥整体大高度顶升施工技术分析
摘 要:与桥梁上部结构拆除重建方案相比,顶升施工技术具有施工快捷、交通影响小、经济环保等优势,已逐步成为桥梁抬升改造方式之一。该文以某超宽幅空心板梁三跨一联简支“假连续”桥整体大高度顶升施工为背景,详细剖析该桥的施工重、难点及施工方案设计...
面向对象编程方法在西门子TIA软件中的应用
摘 要:目前西门子PLC占据主流市场,西门子TIA的编程软件作为西门子的主要编程工具,已被大众所熟悉。利用面向对象编程的方法,对程序进行标准化,可减少制造成本,提高企业的竞争力。该文通过对PLC编程中面向对象与面向过程编程的区别分析,探讨...
智教时代AI赋能微课视频制作技术研究
摘 要:随着人工智能和教育数字化的快速发展,智能化教育(简称“智教”)的崛起已成为必然。在智教时代,人工智能(AI)技术在微课视频制作中发挥了巨大的作用。从AI文案与教学设计生成,到AI图像与视频生成、AI语音识别与合成、AI字幕生成,乃...
相关杂志
  • 中国商论

    中国商论

    2025年23期
    ¥17.49
  • 中外建筑

    中外建筑

    2025年10期
    ¥9.90
  • 河南科技

    河南科技

    2025年22期
    ¥6.00
  • 海洋开发与管理

    海洋开发与管理

    2025年07期
    ¥21.69
  • 计算机应用文摘

    计算机应用文摘

    2025年24期
    ¥9.00
  • 社会科学研究

    社会科学研究

    2025年06期
    ¥9.00
  • 现代信息科技

    现代信息科技

    2025年22期
    ¥18.00
  • 湖南大学学报(社会科学版)

    湖南大学学报(社会科学版)

    2025年06期
    ¥12.00
  • 计算技术与自动化

    计算技术与自动化

    2025年04期
    ¥10.89
  • 中国调味品

    中国调味品

    2025年12期
    ¥0.00
  • 民主与科学

    民主与科学

    2025年05期
    ¥3.39
  • 中国民族民间医药·下半月

    中国民族民间医药·下半月

    2025年11期
    ¥9.69
订阅全年后,您可享受以下权益
①该本杂志即日起至未来1年内所有更新电子版杂志的使用权限;
②赠送该杂志的部分往期的杂志的使用权限,有效期1年。

全年订购价格: ¥648.00

订阅全年
--%>

登录龙源期刊网

温馨提示:

1.点击网站右上角的“充值”按钮可以为您的账号充值

2.充值金额可以选择30,50,100或500元

3.充值成功后即可购买网站上的任意杂志或文章

还没有龙源账户? 立即注册

购买杂志

科技创新与应用

杂志价格:¥18.00元

  • 微信扫码支付
  • 当前余额:100.00

购买杂志

科技创新与应用

杂志价格:¥18.00元

  • 微信扫码支付
  • 当前余额:¥100.00

    去充值
monitor
客服机器人