河北地质大学学报

河北地质大学学报

2025年04期
  • 收藏
收藏成功
微博 空间 微信

类型

双月刊

类别

定价
促销信息
全年订阅更优惠!
¥10.00 ¥6.00
目录

地质资源与勘察

太行山南段石槽铜矿年代学研究及成因初探
摘要:通过对太行山南段石槽铜矿含铜石英脉锆石U-Pb测年、Hf同位素、稀土元素的研究,初步探讨了石槽铜矿成矿时代及矿床成因。研究表明:锆石U-Pb加权平均年龄为 818±24Ma ,代表了含铜石英脉中热液锆石的结晶年龄。Hf同位素...
内蒙古宝音图一带中元古代A型花岗岩特征及形成环境
摘要:宝音图中元古代A型花岗岩位于宝音图—前达门一带,论文研究分析认为二长花岗岩具富硅( SiO2 含量 75.7%~78.26% )、贫钙(CaO含量 0.27%~1.06% )特征;富 Nb 、Y、 Zr ,低Al、 Mg 、Ca、Ni...
基于随机森林算法的南岭东段离子吸附型稀土矿成矿预测
摘要:离子吸附型稀土矿是我国华南地区战略性关键金属资源的核心载体。聚焦南岭东段离子吸附型稀土矿,以“内生外成”成矿理论为指导,基于ArcGIS平台与随机森林算法,构建多要素协同的成矿预测模型。通过构造缓冲区分析、植被覆盖指数(NDVI)、地...
煤矿采空区附近油气井稳定性保障防治关键技术研究
摘要:目前解决煤油矿权重叠区开采相互影响的主要方法是留设煤柱,但此方法会导致大量资源浪费。论文以陕西小保当矿业公司一号煤矿132201工作面为例,采用MIDAS数值模拟软件对工作面和油井交叉情况及治理措施进行三维地质建模。治理措施采用井上井...

油气地质

加拿大Dover区块M-W组典型砂质滨岸相沉积演化特征
摘要:沉积相类型的识别和沉积演化特征研究是沉积矿产资源勘探和开发的重要基础,但即使在同一沉积盆地内,古地理位置和古地貌特征的差异也会导致同一沉积盆地内沉积相的变化,位于加拿大Athabasca油砂矿区北端的Dover区块M-W组便是如此。为...
西湖凹陷弱调节型NW向断裂对油气成藏的控制作用
摘要:西湖凹陷内北西向断裂可分为深大断裂强调节型、构造转换弱调节型及背斜核部张裂逃逸型3种类型。本次研究聚焦于构造转换弱调节型NW向断裂的控藏作用。结果表明:Q2构造深层受NE向及NW向断层共同控制,浅层受NW向断裂控制。NE向断裂数量密集...
鄂尔多斯Q地区长8段成岩作用及储层致密化研究
摘要:通过利用岩芯、铸体薄片、扫描电镜等地质方法对储层成岩作用及储层致密化进行研究,分析了研究区成岩作用类型,定量分析孔隙演化史,同时探讨了储层致密化成因。研究表明:研究区主要发育岩屑长石砂岩和长石岩屑砂岩,粒间孔较发育,长石溶孔次之,储层...

水文.工程.环境地质

淤泥质软土蠕变特性及Singh-Mitchell蠕变模型分析
摘要:淤泥质粉质黏土因其含水量高,承载力差的特点,在基坑施工过程中一旦暴露时间较长未及时支护,则会对基坑的稳定性造成影响。为研究淤泥质粉质黏土的蠕变特性,取用宁波某地铁车站基坑中的淤泥质粉质黏土,采用MTS伺服液压疲劳试验机对原状土进行常规...
地震动峰值速度预测:基于地形特征的随机森林方法
摘要:地震动峰值速度(PGV)是评估地震破坏性的强度参数,其快速准确地预测对于地震预警至关重要。研究表明,地形对地震动强度具有显著影响。然而传统经验预测模型难以考虑地形等复杂因素,限制了预测结果的准确性。文章通过建立PGV与震级、震源距及多...
不同碳源下硫酸盐还原菌处理酸性矿山废水研究
摘要:为处理煤矿闭坑老窑水,开展了硫酸盐还原菌处理酸性矿山废水的实验研究。向原位采集的酸性矿山废水中投加原位筛选的硫酸盐还原菌并分别投加乳酸钠和玉米芯两种碳源,进行为期35天的实验,结果表明投加乳酸钠对于酸性矿山废水的 ΔpH 提升效果和 ...
基于多智能体(MAS)的白洋淀流域生态韧性管理政策仿真与优化
摘要:论本基于多智能体系统(MAS)构建白洋淀流域生态韧性管理政策仿真模型,结合多中心治理理论与复杂适应系统框架,模拟政府、企业、社区及生态主体的交互行为。通过动态权责匹配模型和政策工具协同策略,揭示“强行政 ?+ 弱市场”与“弱行政 + ...

地质矿产经济

江西省矿业对经济增长的贡献分析研究
摘要:文章采用灰色关联度分析法、区位商法和偏离—份额分析法,系统研究了江西省矿业与国民经济发展的关系以及对经济增长的影响。结果表明,江西省的有色金属矿采选业、非金属矿采选业、非金属矿物制品业和有色金属冶炼及压延加工业4个相对具有较强的竞争优...

资源环境经济

中国实现“双碳”目标的关键区域识别及 区域碳转移路径研究
摘要:中国部分省域的生产端碳排放量和隐含碳转移量均较高(“双高”省域),开展“双高”省域的碳转移研究对实现“双碳”目标具有重要意义。文章利用2017年多区域投入产出数据,结合多区域投入产出模型(MRIO),对中国“双高”省域进行识别,在分析...

长城研究

地质地理条件约束下的长城选址研究
摘要:长城作为中国古代军事防御工程的杰出代表,其选址与建造深受地质地理条件的制约。文章以河北省秦皇岛市板厂峪长城为研究对象,通过实地考察与文献分析,系统探讨了其地质地理背景对长城分布位置及军事攻防体系的塑造作用。研究发现,板厂峪长城依托中生...

地学思维与地学文化

地学研学旅行中融人“五育”教育的策略探析
摘要:“五育并举”是提升学生核心素养的重要组成部分,而地学研学旅行的开展则为“五育”融合育人的实施提供了有效载体。本文以石家庄市为例,在充分挖掘石家庄市地学研学资源的基础上,指出了地学研学旅行的高质量开展应该从以“德”铸魂、以“智”育人、以...

高等教育研究

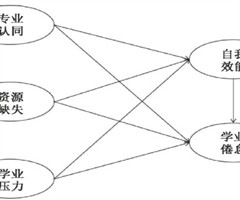
硕士研究生学业倦怠影响机制研究
摘要:随着招生规模不断扩大,硕士研究生逐渐成为中国科研活动的主要群体,中国大力提倡高等教育走“以质量提升为核心的内涵式发展道路”,但学业倦怠严重制约研究生教育质量的提升。对304名硕士研究生进行问卷调查,将专业认同、资源缺失、学业压力与自我...
高校特色文化培育大学生创新精神的机制与对策研究
摘要:大学生创新精神培育是高校教育的重要目标,文化育人是新时期高校人才培养的重要思想。以高校大学生创新精神培育为出发点,通过梳理高校文化尤其是高校特色文化的内涵、特征等,从物质文化、制度文化、精神文化层面构建高校特色文化对大学生创新精神培育...
“龙人”研究揭开了丹尼索瓦人的神秘面纱
2025年6月18日,《Science》和《Cel》同时发表了科研团队和科研团队合作的科研成果。论文题目分别为:TheProteomeoftheLateMiddlePleistocene Harbin Individual (中更新世晚期哈...
相关杂志
订阅全年后,您可享受以下权益
①该本杂志即日起至未来1年内所有更新电子版杂志的使用权限;
②赠送该杂志的部分往期的杂志的使用权限,有效期1年。

全年订购价格: ¥36.00

订阅全年
--%>

登录龙源期刊网

温馨提示:

1.点击网站右上角的“充值”按钮可以为您的账号充值

2.充值金额可以选择30,50,100或500元

3.充值成功后即可购买网站上的任意杂志或文章

还没有龙源账户? 立即注册

购买杂志

河北地质大学学报

杂志价格:¥6.00元

  • 微信扫码支付
  • 当前余额:100.00

购买杂志

河北地质大学学报

杂志价格:¥6.00元

  • 微信扫码支付
  • 当前余额:¥100.00

    去充值
monitor
客服机器人