中国管理信息化

中国管理信息化

2025年17期
  • 收藏
收藏成功
微博 空间 微信
《中国管理信息化》(原《中国会计电算化》)本刊为国内独一份管理信息化专业媒体,其内容将继续以财务会计信息化为核心内容,并...     展开

类型

半月刊

类别

学术
定价
促销信息
全年订阅更优惠!
¥20.00 ¥12.00
目录

会计研究

高校内部审计信息化与内部控制的协同策略研究
[摘要]高校内部审计信息化与内部控制协同是提升高校治理水平的重要举措。本文从高校内部审计信息化与内部控制协同的价值、不足以及策略三个方面进行了深入探讨。研究表明,二者协同可优化资源配置、提高风险防控能力、促进高校可持续发展,但目前仍存在顶层...
数字经济模式中软件平台用户个税征管的创新路径研究
[摘要]在数字经济蓬勃兴起的大背景下,软件平台用户经济活动呈现出新的特征。本文首先剖析其经济活动特点,继而探讨其个税征管创新的理论原则,涉及公平与效率、信息不对称、协同治理及数字化转型等方面,最后从法律完善、技术强化、身份优化及服务宣传等维...
基于“效果导向”的高校预算绩效管理研究
[摘要]在“效果导向"的背景下,高校预算绩效管理对优化资源配置、提升内部管理效能意义重大。然而,当前高校预算绩效管理存在目标设定不合理、评价指标单一、执行力不足、跨部门协同缺失及管理技术手段滞后等问题。通过构建科学的绩效目标体系、...
学校项目支出绩效评价优化研究
[摘要]教育是强国建设、民族复兴之基,而教育经费的投入是教育事业发展的重要基石。根据财政部发布的信息,教育经费投入在财政一般公共预算中稳居第一大支出。有了稳定的教育经费“量”的投入,其使用的“质”尤为重要。对学校项目支出进行绩效评价,可以及...
价值链视角下企业产品生命周期成本优化探索
[摘要]企业要在激烈的市场竞争中立于不败之地,成本优化至关重要。然而,当前许多企业的成本管控还存在诸多短板,亟须从全局视野、战略高度、产品的全寿命周期谋划成本优化的思路和举措。企业只有树立产品生命周期成本优化理念,综合施策、系统优化,才能真...
财务共享模式下国有企业内部控制优化研究
[摘要]在经济全球化与数字化蓬勃发展的背景下,财务共享模式作为一种创新的财务管理模式,正深刻地改变着国有企业的财务管理。财务共享对于强化内部控制具有较大的作用,国有企业应充分利用财务共享模式来优化内部控制,助力企业实现财务转型。本文阐述了财...
信息化时代医院如何做好财务管理内控
[摘要]随着信息技术的飞速发展,医院财务管理逐步迈入信息化时代。信息化技术的应用不仅提高了医院财务管理的效率,也为医院内控管理带来了新的挑战和机遇。本文分析了医院财务管理内控的意义以及存在的问题,提出了信息化时代医院财务管理内控的有效措施,...
上市公司管理舞弊导向下审计模式的构建
[摘要]近年来,上市公司管理舞弊现象频发,对资本市场秩序与投资者利益造成极大损害。鉴于传统审计模式在应对管理舞弊时暴露出诸多局限性,构建上市公司管理舞弊导向审计模式意义重大。在此背景下,本文将详述上市公司管理舞弊与审计的关联,深入剖析管理舞...
成本管理在实验动物产业化管理中的应用
[摘要]实验动物产业化发展需要严格把控成本管理,以实现经济效益与科学价值的平衡。鉴于实验动物管理涉及设施建设、动物培育等多个复杂环节,每个环节的成本控制都会对整体效益产生影响。本文围绕实验动物产业化管理中的成本管理方法展开分析,聚焦建立全面...
公立医院绩效考核的现状与对策探讨
[摘要]公立医院绩效考核是医院内部管理的核心,对优化资源配置、提升医疗服务质量、激励员工积极性具有重要作用。然而,当前公立医院绩效考核存在诸多问题:考核指标体系不完善,财务与非财务指标失衡且设置缺乏科学性;考核方法不科学,主观因素影响大、考...
司库管理系统在企业现金流优化中的作用研究
[摘要]在现代企业管理中,现金流如同企业的血液,其优化管理对于企业的生存与发展至关重要。司库管理系统作为一种综合性的资金管理工具,在企业现金流优化方面扮演着关键角色。本文详细闸述司库管理的基本概念、职能与重要性,深入剖析司库管理系统在企业现...
企业经营预算管理改进策略
[摘要]当前企业经营预算管理面临部门协同性不足、预算调整随意性大以及评价结果利用率低等困境。为改善这一现状,本文提出一系列改进策略:组建跨部门预算编制团队,通过选拔各部门业务骨干、开展全面培训及设立常态化沟通会议以促进协同合作;构建严谨的预...
精细化管理在义务教育学校财务管理中的运用
[摘要]本文以义务教育学校财务管理为研究对象,深入探讨精细化管理在其中的应用。通过分析精细化管理的概念、内容、特征、作用和基本原则,从预算管理、资金使用管理、财务制度建设与信息化财务管理等方面,研究精细化管理在义务教育学校财务管理中的实践价...

会计信息化

业财融合理念驱动下L集团全面预算管理优化路径研究
[摘要]在数智化转型与管理会计变革的双重驱动下,业财融合理念已成为企业优化资源配置、实现价值创造的核心路径。本文以L集团为研究对象,基于业财融合视角对其全面预算管理实践进行深度剖析,揭示传统预算模式存在的业财割裂、战略脱节及执行低效等问题。...
人工智能在审计风险评估中的应用
[摘要]随着科技的飞速发展,人工智能逐渐渗透到审计领域,在审计风险评估中发挥着日益重要的作用。本文深入探讨了人工智能在审计风险评估中应用的重要性,分析其面临的数据质量与安全性、算法可解释性、人员适应以及法律法规滞后等诸多挑战,并针对性地提出...
大数据背景下企业财务管理风险分析及应对措施探析
[摘要]大数据时代重塑企业财务管理格局,技术革新拓展信息处理边界,数据资产价值挖掘推动管理模式升级。财务数据管理能力显著提升,处理速度加快、准确性提高,决策科学性增强,整体管理效率得以跃升。潜在风险同步显现:数据泄露隐患、技术系统脆弱性、复...
大数据时代企业财务报表分析优化策略研究
[摘要]在信息技术高速发展的时代背景下,大数据应用已经融入企业各项工作。企业在开展财务报表分析工作时,利用大数据技术不仅可以提升工作的准确性和时效性,还能够增强财务数据的实用性,为企业制定决策提供坚实的数据保障。本文阐述了大数据在企业财务报...
加快推进会计数字化转型赋能会计信息化高质量发展
[摘要]在数字经济蓬勃发展的时代背景下,会计数字化转型成为推动会计信息化高质量发展的关键路径。本文深入探讨会计数字化转型的内涵与重要意义,分析当前会计信息化发展中存在的技术应用滞后、数据治理薄弱、人才结构失衡等问题。通过研究云计算、大数据、...
大数据智能化财务共享下企业应收账款风险管理研究
[摘要]应收账款是企业向客户提供的一种商业信用,在大数据时代背景下,企业面临的应收账款风险越来越大,需要加强对这一风险的管理。智能化财务共享平台可以为应收账款管理提供技术支持,帮助企业降低风险发生概率。本文阐述了智能化财务共享和应收账款的概...
业财融合背景下装饰行业企业财务管理的难点及优化策略
[摘要]随着经济水平的提升,人们对生活质量提出了更高要求,装饰行业能够满足当前人们对生活质量的追求,提供更优质的居住环境,具有广阔的发展前景。财务管理作为装饰行业企业管理的重要组成部分,当前还面临着一系列的挑战和困境,需要借助业财融合这一有...
业财融合视角下企业全面预算管理分析
[摘要]从业财融合的角度出发,企业推行全面预算管理能够促进信息的即时共享,提升全面预算管理的效率,有效降低运营成本,增强自身的整体竞争力。本文探讨业财融合与全面预算管理之间的关联,剖析当前企业预算管理存在的问题,并提出有针对性的优化策略,旨...
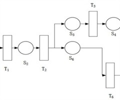
基于Petri网的烟草企业财务RPA流程优化研究
[摘要]本文基于Petri网对烟草企业财务RPA流程进行优化研究。优化前流程存在明显瓶颈与冗余环节,错误率与操作风险较高;优化后流程各环节得到简化,有效减少了人为干预与错误风险,大幅度缩短了工作时间,助力企业实现了降本增效目标。因此,在实施...
业财融合背景下企业财务数字化转型面临的挑战及策略
[摘要]在业财融合视域下,企业通过数字化转型实现财务管理与业务流程的深度融合,能够更好地把握市场脉动并提升竞争力。数字化转型能够优化企业的决策支持能力,通过将业务与财务数据进行整合,使管理预测更加准确,帮助企业更好地应对市场变化。基于此,本...
基于业财融合的企业内部控制建设研究
[摘要]基于业财融合理念,企业加强内部控制建设,精准把握业财融合期间的内控要求,不仅能够使业务与财务信息深入融合,优化财务管理服务效果,而且能够更好地识别和评估风险,提高内控管理的有效性,保障企业的稳健运营。基于此,本文对业财融合、内部控制...
业财融合背景下建筑施工企业财务管理转型
[摘要]在业财融合背景下,建筑施工企业为满足自身发展需求,需要尽快推动财务管理转型。建筑施工企业通过深度整合业务与财务数据,能够实时共享相关数据信息,促使管理层做出科学决策。企业应当将业财融合融入财务管理中,实现财务工作的升级,有效提升自身...
业财融合视角下建筑工程财务管理模式优化
[摘要]随着建筑行业的蓬勃发展以及市场竞争的日益激烈,传统的建筑工程财务管理模式面临诸多挑战,难以满足企业高效运营和可持续发展的需求。业财融合作为一种创新理念,为建筑工程财务管理模式的优化提供了新思路。本文阐述了业财融合在建筑工程领域的内涵...
信息化赋能下公立医院成本精细化管理路径研究
[摘要]信息化时代已经到来,各行各业都迎来了新的机遇,但也面临着新的挑战。以公立医院为例,其成本管理正从“粗放型”向“精细化”转变,但这一转型过程并非一帆风顺,仍需立足实际探索更优化的实施路径。基于此,本文以信息化赋能为出发点,深入分析了现...
大数据时代企业审计信息化建设探讨
[摘要]在大数据时代的背景下,数据呈现爆炸式增长态势,在丰富审计信息源的同时,对企业审计工作提出了更高要求。为能够有效分析数据,提升审计的质量和效率,企业需要加快审计信息化建设的步伐,以应对大数据带来的挑战。本文阐述了大数据时代企业审计信息...
大数据背景下的企业财务管理优化措施探究
[摘要]在大数据背景下,企业财务发生了巨大的转变,这种转变给财务分析与管理工作也带来了显著的影响。为推动企业长远发展,提升企业财务管理水平,企业需积极探索更为有效的财务分析与管理策略。本文阐述了大数据背景下企业财务发生的变化,分析了大数据背...
大数据时代下增值型内部审计的转型与发展
[摘要]随着大数据技术的快速发展,企业内外部环境面临深刻变革,传统的内部审计模式已难以满足现代企业的需求。基于此,本文首先阐述了大数据时代增值型内部审计的必要性,其次提出当前时代背景下企业构建大数据内部审计模型面临的主要挑战,最后提出搭建分...
AI时代会计行业的机遇挑战与应对策略
[摘要]随着人工智能(AI)技术的飞速发展,其对会计行业产生了深远影响。本文深入探讨了AI时代会计行业面临的机遇、挑战,并针对性地提出了切实可行的应对策略,旨在为会计从业者及相关企业在新背景下更好地适应变革、实现可持续发展提供参考。...

经济研究

数字经济时代高等教育数字化转型赋能机制及实施路径研究
[摘要]在数字经济时代下,数字化转型已成为高等教育发展的核心驱动力,教育现代化的实现也离不开高等教育的数字化转型。本文通过对数字经济时代下高等教育数字化转型必要性及赋能机制的研究,明确了高等教育数字化转型在提升教育质量、优化资源配置、培养创...
探究在线零售人机交互感知结构对顾客采纳行为的影响机制
[摘要]随着互联网技术的飞速发展,电子商务已经成为人们日常生活的重要组成部分。在线零售平台通过人机交互感知结构可以为顾客提供艮好的购物体验,促使其产生采纳行为,同时,在线零售人机交互感知结构对顾客采纳行为会产生影响。本文在对在线零售人机交互...
网络广告的经济传播价值及营销策略分析
[摘要]在当前数字技术迅猛发展的时代背景下,网络广告作为新媒体传播的关键要素,已深度融入社会经济运行体系。本文结合广告行业发展现状,全面剖析网络广告在经济传播领域的价值及营销策略。研究显示,网络广告借助促进消费市场增长、帮助企业降本增效、推...
实体经济和数字经济深度融合的逻辑机理和现实路径
[摘要]数字经济这一新经济形态的出现,凭借大数据、云计算、人工智能等前沿技术,为实体经济的发展持续注入新动能。从以数字经济为主导的“数实融合”模式转向以实体经济为核心的“实数融合”新格局,反映了二者在融合发展过程中主导地位的转变。鉴于上述背...
中国一东盟背景下广西民办高校国际化发展的信息化路径探究
[摘要]随着中国—东盟合作的不断深入,广西作为中国面向东盟的重要门户,信息化手段的应用对于推动广西民办高校国际化发展具有重要意义。本文探讨中国—东盟背景下广西民办高校国际化发展的信息化路径,首先分析区域合作、政策支持为广西民办高校国际化发展...
数字经济下以财税体制改革推动扩大内需的思考
[摘要]财政在一个国家发展建设过程中的重要性不言而喻。现阶段,国家也在积极推进财税体制改革,以求应对经济数字化发展带来的全新挑战。基于此,本文从某地区开展的财税体制改革工作入手,结合该地区的改革经验进行思考,分析数字经济下财税体制如何得到进...
开封推动县域经济优化发展研究
[摘要]对开封来说,县域强则市强。当前,开封县域经济面临大而不强、产业亟待转型升级等问题。开封要做强主导产业,做优特色产业;应调整产业结构,发展服务业等就业导向型产业;积极发挥财政资金乘数效应,吸引多元化资本参与县城建设等。从而促进县域经济...
海南绿色金融与生态建设数字化融合路径研究
[摘要]当前,在全球各国都在寻求经济与能源转型的大环境下,绿色金融在政策体系、市场运行、金融产品、区域创新及国际合作均取得了一系列新突破,但其与生态建设数字化融合的研究仍面临挑战。作为中国生态文明建设的试验区和绿色金融改革创新的前沿地,海南...
企业税收筹划的价值与策略分析
[摘要]税收筹划是企业财务管理的重要组成部分,对企业降低税负压力、提高资金利用效率具有重要的促进作用。为充分发挥税收筹划的作用,企业需从当前存在的不足之处入手,积极探索有效的税收筹划实施策略。基于此,本文阐述了企业税收筹划的价值,分析了其面...
经济新常态视阀下的宏观经济政策取向
[摘要]经济新常态是中国经济发展进入新阶段的重要标志,也是当前经济下行趋势所作出的科学且具有前瞻性的判断。在当前的形势下,有必要进一步深入理解经济新常态自提出以来所蕴含的现实意义,科学把握其经济增速放缓的历史性趋势,并清醒认识到稳经济增长的...
国有林场经济发展对生态文明建设的推动作用
[摘要]国有林场在生态文明建设中扮演着不可或缺的角色,其既是生态保护的重要载体,也是地方经济发展的关键组成部分。本文围绕国有林场经济发展与生态文明建设之间的互动逻辑,分析其在资源供给、就业促进、生态保护和生态文化传播等方面的综合效能,并指出...

企业管理及信息化

数字经济时代企业工商管理转型趋势与路径探析
[摘要]在数字经济蓬勃发展的当下,企业工商管理正面临深刻变革,企业所处的市场环境、竞争格局、技术条件等都发生了根本性的变化,传统的工商管理模式已难以适应新的发展需求,企业必须积极寻求转型,以应对数字经济带来的挑战,抓住数字经济发展的机遇。基...
大数据技术赋能企业经济高质量发展的路径研究
[摘要]大数据技术的广泛应用为各行各业带来了深刻的变革,成为推动企业高质量发展的重要引擎。但就实际而言,大数据赋能企业经济高质量发展的道路并不平坦,存在诸多现实困境,亟须有针对性地制定相应的优化路径。基于此,本文首先概述了企业经济高质量发展...
购售电一体化电费结算服务新模式的构建和实施路径
[摘要]随着电力市场改革的推进,传统电费结算模式难以适应发展需求。本文以国网浙江省电力公司为例,探讨了购售电一体化电费结算服务新模式的构建与实施路径,阐述了新模式的概念与优势,分析了构建过程及效果评估。通过对具体案例的深入研究,为电力企业推...
计算机应用技术对企业信息化建设的影响探析
[摘要]企业信息化建设作为提升企业运营效率、增强市场竞争力的关键举措,与计算机应用技术的发展密不可分。纵观计算机应用技术的发展历程,从最初的简单数据处理到如今的大数据分析、人工智能等先进技术,其对企业信息化建设的影响不断深化。本文将深入剖析...
基于工业物联网的企业智慧物流集成管理平台设计
[摘要]传统物流管理平台存在信息处理滞后、数据孤岛及智能化不足等问题,难以满足市场对高效、智能、协同物流的需求。具体而言,信息处理滞后源于系统架构落后、数据处理能力不足及信息传递渠道不畅。数据孤岛则因系统接口不兼容、数据标准不统一及信息共享...

人力资源管理

高校教师数字素养与技能培训策略研究
[摘要]本文聚焦高校教师数字素养与技能培训,深入分析其内在逻辑与组成要素,并提出实践路径。教师数字素养与技能的组成要素包括信息获取与评估能力、数字工具应用能力、数据处理与分析能力以及数字安全与伦理素养。本文提出构建跨学科数字赋能体系、打造技...
能力增值视角下MPA人才培养的挑战与实现探索
[摘要]在新时代下,提升MPA研究生解决实际问题的能力,是提升政府治理水平、推进国家实现治理体系及治理能力现代化的必然要求。MPA研究生能力提升面临着能力标准模糊、信息技术发展、工学矛盾、师资队伍建设等诸多问题,为进一步提升MPA研究生培养...
大数据在人力资源绩效管理中的深度应用与优化
[摘要]本文围绕“大数据在人力资源绩效管理中的深度应用与优化”展开,详细阐述了大数据在绩效计划制订环节(包括目标设定和资源分配优化)、绩效评估环节(评估指标与实时动态评估)、绩效反馈环节(个性化反馈和沟通渠道优化)的深度应用。同时提出优化策...
校企合作模式下应用型本科院校人才培养研究
[摘要]校企合作是应用型本科院校人才培养的核心环节之一,是学生巩固知识、应用知识、重构知识的重要途径,是帮助学生把理论知识转化为专业能力、升华为职业素养的重要抓手。这一办学模式以市场需求为导向,能够有效解决高校人才培养和企业需求脱节的问题。...
新时代“一核·三链·四构·五式”人才培养体系构建研究
[摘要]在新时代立德树人背景下,“为谁培养人才”“如何培养人才”“培养什么样的人才”已成为人才培养过程中必须思考的重要问题。符合专业认证标准、自主构建定位合适且特色鲜明的人才培养体系,将社会和企业对人才的需求融入人才培养的全过程之中,改进与...
双一流”背景下“双非”高校教师队伍建设研究
[摘要]“双非”高校受办学基础、资金投入、专业建设等诸多因素的制约,其教师队伍与“双一流”高校存在较大的差距。如何有效加强教师队伍建设,已经成为“双非”高校增加发展后劲、实现转型成功的根本保证。本文选取了有望冲击下一轮“双一流”建设的A高校...
论高校经济管理类专业应用型人才培养模式改革实践
[摘要]随着社会经济结构的不断变化,高校经济管理类专业教学模式迎来前所未有的挑战。传统理论型人才培养模式已难以满足社会对人才需求,亟须创建应用型人才培养模式,提升人才创新、创造综合素质与能力。本文以创建应用型人才培养模式产生背景为切入点,在...
基于OBE理念的应用型高校大学生领导力培养体系构建研究
[摘要]大数据时代的到来,为市场营销专业的人才带来了机遇与挑战。作为应用型高校,晋中信息学院多年来致力于培养信息产业应用型人才。本文以市场营销专业为研究对象,从三个层面研究OBE理念下,大学生领导力培养体系构建。首先,构建应用型高校大学生领...
人力资源管理中员工赋能策略对组织绩效的影响研究
[摘要]在快速变化的商业环境中,员工赋能作为提升组织效能的关键策略,已日益受到企业管理者的重视。本研究首先阐述了人力资源管理中员工赋能策略的多维度构成,包括领导赋能、结构赋能、心理赋能和文化赋能;其次通过构建理论模型并提出研究假设,采用问卷...
科技馆人力资源开发与管理的路径研究
[摘要]作为科普教育的前沿阵地,科技馆人力资源的科学开发及有效管理对于科普事业的蓬勃兴起具有关键作用。本文深入分析了科技馆人力资源开发与管理的重要性、难点,并提出针对性的创新路径。重要性体现在能推动科普教育及科技馆自身的发展,难点包含人才吸...
干部监督体系建设对提升组织绩效的影响机制研究
[摘要]本研究聚焦干部监督体系建设与组织绩效提升的内在联系,基于绩效评估、干部行为治理等理论,结合数字化转型背景下的实践案例,深入剖析监督体系对组织绩效的影响机制。研究发现,干部监督体系通过行为约束、资源优化与激励相容三大路径提升组织绩效。...

公共管理

大数据背景下高校档案数据治理路径研究
[摘要]在大数据时代背景下,高校档案数据呈现数量激增、类型多样、价值密度低等特点,传统的档案管理模式难以适应新形势下的发展需求。基于此,本文从高校档案数据特点出发,分析了大数据背景下高校档案数据治理面临的标准不统一、质量待提升、安全风险增加...
数字化背景下高校档案管理的信息化转型策略研究
[摘要]高校档案管理的信息化转型是当前教育信息化发展的重要组成部分,它不仅关乎档案管理效率的提升,更影响着档案信息资源的共享与利用。然而,在这一转型过程中,高校档案管理面临着诸多挑战与问题,需要进行深入的反思与探讨。高校应充分认识到档案管理...
基于大数据的学生行为分析与管理策略
[摘要]在信息化时代,基于大数据的学生行为分析与管理策略对教育发展意义重大。本文首先阐述了大数据技术与学生行为分析的内涵;其次运用数据挖掘等技术收集学习、社交、生活等多维度的学生行为数据,通过具体案例分析其行为模式与规律;最后依据分析结果提...
高职院校学生管理信息化建设的路径探索
[摘要]在信息化背景下,高职院校学生管理信息化建设已成为提升教育质量、推动人才培养现代化的关键着力点。本文率先阐明其核心概念,且严谨分析高职院校学生管理信息化建设现状与问题,进而提出涵盖强化基础设施保障、打造高素质人才队伍、完善数据管理与应...
“一带一路”倡议下中俄跨境电商的贸易模式创新路径研究
[摘要]在经济全球化与“一带一路”倡议的大背景下,国际经济合作不断深化,跨境电商成为国际贸易的重要形式。中俄作为重要的贸易伙伴,跨境电商发展迎来新机遇。本文首先分析了“一带一路”倡议对中俄跨境电商的影响,包括政策支持与基础设施建设改善,如贸...
信息化环境下高校学生管理工作创新路径研究
[摘要]在数字化转型的时代背景下,高校学生管理工作面临着数据治理能力不足、协同机制滞后、技术伦理挑战等现实困境。本研究通过文献分析与实证调研,系统梳理信息化对学生管理的多维影响,从理念革新、技术赋能、机制重构、队伍升级、评价优化五个维度构建...
信息化时代高职院校化学实验室安全管理策略
[摘要]随着信息化技术的迅猛发展,传统高职院校化学实验室的安全管理方式已经无法满足现代教学和科研的需求。为解决化学实验室在信息化时代面临的安全管理问题,本文首先分析了信息化时代为高职院校化学实验室安全管理带来的机遇;其次探讨了当前存在的主要...
高职院校教育管理数字化创新路径探析
[摘要]在全面数字化转型升级的社会经济环境中,高职院校需采取数字化、智能化校园管理模式,确保教育资源的合理利用,保障人才培养工作的高质量、高效率运行。本文通过分析高职院校面临的发展机遇和面临挑战,以人工智能技术的应用为切入点,介绍高职院校教...
基于乡村振兴背景的农村公共管理体系优化
[摘要]乡村振兴战略自党的十九大提出以来,在推动农村发展、提高农民生活水平方面取得了显著成效,但农村公共管理体系仍面临诸多挑战。K地区作为乡村振兴的典型代表,其农村公共管理体系在政策执行效能、工作方式创新、本土地情把控以及人才留存招引等方面...
事业单位档案分类与整理标准的实际应用研究
[摘要]本文深入探讨了事业单位档案分类与整理的现状、问题及未来发展趋势,重点分析了档案管理中电子化与信息化的应用、智能化管理的前景以及档案整理与保存方式的持续优化。当前,档案分类标准执行不统一、管理人员专业培训不足、信息化程度较低,导致管理...

信息技术与应用

高精度检测技术在电子信息化管理中的应用探索
[摘要]随着全球电子信息化进程的加速,高精度检测技术作为提升管理效能的核心手段,已深度融入金融、医疗、制造业等多个领域。本文通过理论分析与实证研究结合的方法,系统探讨高精度检测技术在电子信息化管理中的应用优势、现存问题及优化策略。研究发现,...
DeepSeek在Excel数据分析中的应用
[摘要]企业经营过程中产生的数据蕴含着丰富的商业价值,这些数据规模庞大且结构复杂,给企业数据分析带来严峻挑战。传统Excel数据分析方法效率低下且准确性欠佳,难以满足企业日益增长的精细化运营需求。本文以“智链零售”连锁企业数据分析为例,探索...
新媒体环境中电子商务数据驱动决策的挑战与应对
[摘要]新媒体技术的迅猛发展重构了电子商务的底层逻辑,数据驱动决策的价值日益凸显。基于此,本文介绍了新媒体环境中电子商务数据的特征与决策模式的变革,从技术实施、管理机制、合规风险以及数据质量等方面分析了新媒体环境中电子商务数据驱动决策面临的...
数据智能化分析技术在油田生产中的研究与应用
[摘要]在大数据时代下,数据智能分析技术是一条能充分发挥数据价值的有效途径,并推动相关业务领域的融合快速发展。通过深入调研分析,如何快速分析功图计产波动、影响计产准确率因素和业务跟踪指标分析。本文主要以免费 POWERBI为载体,利用PQ、...
内部储量数字化管理在中海创新应用实践
[摘要]油气储量数字化管理对油气行业数字化转型至关重要。本文分析了中海油内部储量管理现状,提出了“储量单元卡片”智能可视化技术,整合复杂数据为简洁卡片,实现自动化处理、可视化展示、多专业联动和一体化管理。该技术提高了信息传递效率,便于技术人...
基于海上钻完井作业风险管控的陆地支持保障工作探索
[摘要]近年国内海上钻完井作业持续高峰运转,对现场作业及陆地支持保障均提出了更高要求。为规范钻完井作业陆地值班管理工作、跟进现场作业动态、落实防范作业风险、高效传递作业信息、快速应对突发情况、保障现场作业安全平稳,钻完井团队积极开展陆地支持...
数智时代下基于UWB与DeepSeek技术的智能图书馆管理路径探索
[摘要]随着信息技术的快速发展,图书馆管理的智能化、数据化已成为必然趋势。传统的图书馆管理模式面临诸多挑战,尤其在资源管理、读者服务、运营效率等方面逐渐显现出局限性。UWB(超宽带)技术与DeepSeek技术的结合为图书馆管理提供了新的解决...
相关杂志
  • 中国商论

    中国商论

    2025年19期
    ¥17.49
  • 中外建筑

    中外建筑

    2025年08期
    ¥9.90
  • 河南科技

    河南科技

    2025年18期
    ¥6.00
  • 海洋开发与管理

    海洋开发与管理

    2025年01期
    ¥21.69
  • 计算机应用文摘

    计算机应用文摘

    2025年19期
    ¥9.00
  • 社会科学研究

    社会科学研究

    2025年05期
    ¥9.00
  • 现代信息科技

    现代信息科技

    2025年16期
    ¥18.00
  • 湖南大学学报(社会科学版)

    湖南大学学报(社会科学版)

    2025年05期
    ¥12.00
  • 中国调味品

    中国调味品

    2025年10期
    ¥0.00
  • 计算技术与自动化

    计算技术与自动化

    2025年03期
    ¥10.89
  • 民主与科学

    民主与科学

    2025年04期
    ¥3.39
  • 中国检察官·司法实务

    中国检察官·司法实务

    2025年09期
    ¥7.59
订阅全年后,您可享受以下权益
①该本杂志即日起至未来1年内所有更新电子版杂志的使用权限;
②赠送该杂志的部分往期的杂志的使用权限,有效期1年。

全年订购价格: ¥288.00

订阅全年
--%>

登录龙源期刊网

温馨提示:

1.点击网站右上角的“充值”按钮可以为您的账号充值

2.充值金额可以选择30,50,100或500元

3.充值成功后即可购买网站上的任意杂志或文章

还没有龙源账户? 立即注册

购买杂志

中国管理信息化

杂志价格:¥12.00元

  • 微信扫码支付
  • 当前余额:100.00

购买杂志

中国管理信息化

杂志价格:¥12.00元

  • 微信扫码支付
  • 当前余额:¥100.00

    去充值
monitor
客服机器人