注册帐号丨忘记密码?
1.点击网站首页右上角的“充值”按钮可以为您的帐号充值
2.可选择不同档位的充值金额,充值后按篇按本计费
3.充值成功后即可购买网站上的任意文章或杂志的电子版
4.购买后文章、杂志可在个人中心的订阅/零买找到
5.登陆后可阅读免费专区的精彩内容
打开文本图片集
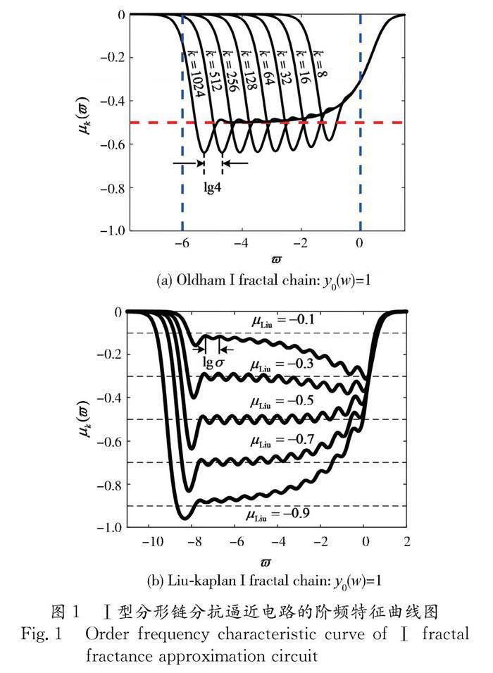
根据分形分抗逼近电路的电路结构特征,利用一种新方法——简略分析法,对分形分抗逼近电路的运算特征和性能进行定性研究.针对未经拓展前的Oldham分形链分抗逼近电路,建立简略分析法的理论基础,确定该理论研究的组成内容,并验证该种方法内容构成的可靠性.在此基础上,利用简略分析法实现标度拓展后的分形分抗逼近(剩余7592字)
登录龙源期刊网
购买文章
分形分抗逼近电路的简略分析法:理论基础与应用
文章价格:5.00元
当前余额:100.00
阅读
您目前是文章会员,阅读数共:0篇
剩余阅读数:0篇
阅读有效期:0001-1-1 0:00:00