四川大学学报(自然科学版)

四川大学学报(自然科学版)

2023年01期
  • 收藏
收藏成功
微博 空间 微信
《四川大学学报(自然科学版)》是自然科学综合性学术期刊,国内外公开发行,主要刊登国内外理科基础研究和应用研究方面的、具有...     展开

类型

双月刊

类别

定价
促销信息
全年订阅更优惠!
¥20.00 ¥12.00
目录

数学

偏序集上的MS-收敛
参考文献: [1] Xu X Q, Yang J B. Topological representation of distributive hypercontinuous lattices [J].Chin Ann Math Ser B,...
一个求解二阶锥变分不等式问题的神经网络
本文提出了一个神经网络算法,以求解二阶锥变分不等式 (SOCCVI) 问题. 该算法利用一个光滑化Fischer-Burmeister(FB)函数处理问题对应的KKT条件,将其转化为一个无约束优化问题. 利用Lyapunov方法本文证明,在...
关于1 1/2 … 1/n的一类初等对称函数的2-adic赋值
References: [1] Theisinger L. Bemerkung über die harmonische Reihe [J]. Monatsh Math Phys, 1915, 26: 132. [2] Nagel...
一个基于金融混合数据的智能问答模型
智能问答系统(Question Answering System, QAS)是一种让人类通过自然语言与机器进行问答来获取信息的人机交互系统,是自然语言处理的一个集综合性与广泛性于一体的应用.现有的智能问答系统模型研究主要考虑单一型数据.然而...
用Painlevé变换法构造广义Benjamin-Bona-Mahony方程的冲击波解
本文利用Painlevé变换法构造了广义Benjamin-Bona-Mahony(BBM)方程的冲击波解,同时用G′/G-展开法构造了方程的冲击波解和有理解. 两种方法的比较结果显示,用Painlevé变换法直观简便. ...
混合约束多峰优化问题的一个协同共轭进退粒子群算法
为解决混合(等式和不等式)约束的多峰优化问题(MOPs),本文在粒子群算法框架下提出了粒子优度比较准则和局部协同与共轭进退寻优两种迭代进化策略. 优度比较准则在适应度和约束违反度的双重限制下指导粒子高效地执行进化策略,局部协同策略可使粒子能...

计算机科学

一种基于注意力嵌入对抗网络的全色锐化方法
全色锐化旨在将低空间分辨率的多光谱图像和高空间分辨率的全色图像进行融合,生成一幅高空间分辨率的多光谱图像.伴随卷积神经网络的发展,涌现出很多基于CNN的全色锐化方法.这些用于全色锐化的CNN模型大都未考虑不同通道特征和不同空间位置特征对最终...
稳定度激励算法对移动区块链节点的共识优化研究
在基于移动节点的区块链系统中,节点速度与位置的变化以及节点本身的可信度会影响共识节点选取和区块验证时的稳定性,存在产生恶意节点选取和区块验证共谋.本文提出一种稳定度激励算法,在节点选取方面,根据节点可信度和质量因子计算各个节点的稳定度,并选...
一种轻量化非结构化道路语义分割神经网络
非结构化道路由于没有明显车道线且道路特征多、地域差异大,现有的结构化道路分割方法无法满足非结构化道路分割在实际应用中的实时性与准确性要求.为了解决上述难点,本文基于DeepLabv3+网络提出一种G-lite-DeepLabv3+网络结构,...

电子信息科学

基于软件无线电的双向时间同步系统设计与实现
针对全球导航卫星系统建设成本高,信号易被干扰和欺骗等问题,本文基于Zedboard+AD9361软件定义无线电平台设计出一套小型化、高精度的无线时间同步系统.整个系统分为双向时间同步模块和无线通信模块:双向时间同步模块处理主从机时间戳的标定...
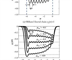
分形分抗逼近电路的简略分析法:理论基础与应用
根据分形分抗逼近电路的电路结构特征,利用一种新方法——简略分析法,对分形分抗逼近电路的运算特征和性能进行定性研究.针对未经拓展前的Oldham分形链分抗逼近电路,建立简略分析法的理论基础,确定该理论研究的组成内容,并验证该种方法内容构成的可...
航空器离场管制关键环节识别及风险传播研究
航空器离场风险识别是民航安全生产的重要环节,但目前研究多面向航空器运动过程和静态危险源,忽略了管制业务影响和风险动态传播机理.针对此问题,本文提出了基于复杂网络的离场管制关键点识别及风险传播模型.首先,抽象管制信息交互和业务逻辑,构建复杂网...
物联网应用场景下自助终端网络安全威胁评估与应对
自助终端作为传统人工操作的补充,在政务、交通以及能源等领域广泛应用. 随着电子和信息技术的飞速发展,以及支付宝和微信等移动支付方式的普及,自助终端的性能不断提升,成本不断降低,其应用领域和范围不再受设备体积、支付方式和网络接入等因素制约. ...

物理学

等离子体-气体渗透装置中静态液态锂-固态金属膜双层结构Li/Fe的氢渗透行为研究
在未来聚变堆中, 氚透过第一壁的渗透和滞留行为是影响氚自持以及装置核安全的重要问题. 针对这一问题, 四川大学先进核能实验室自主设计了可以研究气体和等离子体驱动的氢同位素在静态/流动液态金属中渗透行为的装置. 本文详细地介绍了该装置, 并分...
氩等离子体与预辐照钨基Li-CPS结构相互作用研究
本文利用四川大学直线等离子体发生装置(SCU-PSI)研究了不同入射能量的氦(He)等离子体对钨筛网的辐照行为以及氩(Ar)等离子体与预辐照液态锂(Li)钨基多孔筛网结构(CPS)的相互作用. 实验结果表明, 在不同入射能量的He等离子体辐...
基于卷积模型的核信号仿真
NaI(Tl)探测器因具有探测效率高和成本低等优点,常被用于核辐射能谱测量和核辐射监管等领域. 由于实验条件等的限制,研究人员往往较难获取理想的实验核信号,虽然可以借助探测器的仿真信号来实现研究目的,但是常规的探测器单指数或双指数模型和实际...

化学与材料学

蛭石在低浓度盐酸和硫酸中的溶出性比较研究
蛭石作为三八面体层状硅酸盐矿物,由于其独特的层状结构被广泛应用于各领域. 酸处理蛭石能提高蛭石的比表面积,改变层电荷数,达到增加表面活性官能团的目的. 以新疆尉犁蛭石为原料,在低浓度盐酸和硫酸界面进行溶出性比较研究,对原料及酸浸后样品的物相...
净化槽处理低污染水污染物的去除效果、途径与根系微生物群落分析
为了探索低污染水的资源化处理途径,本文开展了植物净化槽和净化槽处理低污染水的效果研究,并分析了植物净化槽的污染物去除途径及根系微生物群落. 结果表明,植物净化槽对污染物的去除效果明显高于净化槽,经植物净化槽处理后,低污染水的化学需氧量(CO...

生物学

基于低氧-免疫DNA甲基化标记在肺癌中的开发
为了探究缺氧和免疫联合分析DNA甲基化位点在肺癌预后中的作用,提高肺癌免疫治疗的有效性,本研究基于甲基化和转录组二维数据,构建了一个用于预后评估的风险评分模型.从TCGA数据库中下载了247个与缺氧、免疫状态相关的去冗余肺癌样本作为训练集....
保水剂和水泥含量对切挖边坡人工土壤钾素的影响
了解保水剂和水泥对人工土壤钾素的影响有助于提高土壤钾素有效性,有利于边坡的植被恢复.本文以保水剂和水泥为基质原材料,选用L9(32)正交表进行试验,研究不同保水剂和水泥含量对土壤钾素形态的影响以及作用机制.结果表明,保水剂和水泥显著增加土壤...
成都东华门遗址土壤中细菌的分离鉴定及防治研究
为了探究成都东华门遗址土壤中细菌群落的结构组成,研制具有针对性的抑菌剂,本研究在东华门遗址的微生物病害发生点进行采样,用稀释涂布平板法获得可培养细菌,纯培养后进行形态学和16S rDNA分子生物学鉴定. 结果显示:分离到的27株细菌中,以芽...
一株耐盐Cr(Ⅵ)还原菌的分离鉴定和还原特性研究
为解决高无机盐废水中的铬(Chromium,Cr)的六价铬Cr(Ⅵ)污染问题,从高盐环境中分离得到一株Cr(Ⅵ)还原菌,命名为KL01,经分子鉴定为墓画大洋芽孢杆菌(Oceanobacillus picturae),通过对KL01的生理特征...
相关杂志
订阅全年后,您可享受以下权益
①该本杂志即日起至未来1年内所有更新电子版杂志的使用权限;
②赠送该杂志的部分往期的杂志的使用权限,有效期1年。

全年订购价格: ¥72.00

订阅全年
--%>

登录龙源期刊网

温馨提示:

1.点击网站右上角的“充值”按钮可以为您的账号充值

2.充值金额可以选择30,50,100或500元

3.充值成功后即可购买网站上的任意杂志或文章

还没有龙源账户? 立即注册

购买杂志

四川大学学报(自然科学版)

杂志价格:¥12.00元

  • 微信扫码支付
  • 当前余额:100.00

购买杂志

四川大学学报(自然科学版)

杂志价格:¥12.00元

  • 微信扫码支付
  • 当前余额:¥100.00

    去充值
monitor
客服机器人