注册帐号丨忘记密码?
1.点击网站首页右上角的“充值”按钮可以为您的帐号充值
2.可选择不同档位的充值金额,充值后按篇按本计费
3.充值成功后即可购买网站上的任意文章或杂志的电子版
4.购买后文章、杂志可在个人中心的订阅/零买找到
5.登陆后可阅读免费专区的精彩内容
打开文本图片集
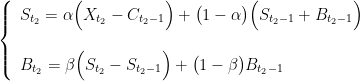
0 引言
在现代社会中,电力系统作为基础设施的重要组成部分,其稳定性和可靠性对经济发展与人们生活具有至关重要的影响。随着工业化和城镇化进程的加快,尤其是在区域性大负荷场景,电力需求呈现出了快速增长的趋势。例如在高校区域,由于集中使用空调、照明和实验等大功率设备,导致用电负荷波动剧烈,给电力系统的稳定运行带来了巨大挑战[1-3]。(剩余5026字)
登录龙源期刊网
购买文章
一种融合指数平滑和梯度升压的短期负荷预测方法
文章价格:4.00元
当前余额:100.00
阅读
您目前是文章会员,阅读数共:0篇
剩余阅读数:0篇
阅读有效期:0001/1/1 0:00:00