湖北工业大学学报

湖北工业大学学报

2025年04期
  • 收藏
收藏成功
微博 空间 微信
《湖北工业大学学报》是湖北省教育厅主管,湖北工业大学主办的综合性科技学术期刊。坚持正确的办刊思想,以刊物为阵地积极开展学...     展开

类型

双月刊

类别

定价
促销信息
全年订阅更优惠!
¥12.00 ¥7.29
目录

基于四波横向剪切干涉的光波导折射率快速测量方法
[中图分类号]TN252 [文献标识码]A [摘要]针对常见的光波导折射率分布测量方法存在的实时性不足和稳定性较差等问题,提出一种基于四波横向剪切干涉的光波导折射率快速测量方法。该方法通过MHM的衍射特性获取高质量的干涉条纹图,再结合傅里叶...
基于自适应权重WOA的机械臂接触力跟踪算法
[摘要]为了提高机械臂末端的接触力跟踪控制精度,对自适应阻抗控制算法进行研究,构建了自适应阻抗控制器。通过引入自适应权重鲸鱼优化算法对自适应阻抗控制参数进行优化,提出一种基于自适应权重WOA的机械臂接触力控制方法。该方法能够实现对惯性系数、...
基于改进 GWO 算法的柔性作业车间调度问题求解
[摘要]以最小化最大完工时间为目标,提出一种改进灰狼优化(IGWO)算法,用于求解柔性作业车间调度问题。首先,采用机器选择和工序排序分开编码;其次,运用GLR的初始化方法,提升解的质量并保证狼群多样化;接着,融合交叉与变异算子,有效抑制算法...
基于机器视觉的草莓自动分选系统设计与实验
[摘要」针对国内草莓产量大、保质期短、传统人工分拣效率低等问题,设计一种基于机器视觉的草莓自动分选系统。该系统通过机器视觉获取草莓的颜色特征、质量特征和形状特征,对草莓成熟度、规格和形状进行评分,并采用熵权法得到权重因子,进而得到草莓品质整...
基于AMESim与Simulink的拖拉机三点悬挂姿态调节的联合仿真
[摘要」针对三点悬挂高程调节与水平调节之间的耦合问题,设计完成了拖拉机三点悬挂的液压系统,根据悬挂装置姿态调节原理,确定以提升臂倾角作为姿态关键参数,分析了悬挂装置各部件之间的几何关系,构建了姿态检测模型。以三点悬挂姿态调节控制系统为研究对...
一种子类不平衡的乳腺病理图像多分类方法
[摘要]针对乳腺病理图像数据集子类不平衡及子类差异细微的问题,提出了一种面向子类不平衡的乳腺病理图像多分类方法。数据层面,引人LR-SMOTE算法平衡样本数量;算法层面,首先为了改善子类差异细微,难以精细多分类的问题,融合位置注意力机制和通...
基于辅助健康因子的锂电池剩余寿命预测研究
[摘要]为提高锂离子电池剩余寿命预测准确率,提出了一种基于辅助健康因子的锂电池剩余寿命预测方法,可使用较少的训练数据准确预测锂电池剩余寿命。从电池容量增量曲线和概率密度曲线中提取描述电池老化的健康因子,用于电池寿命预测模型的辅助训练。对现有...
基于CPA-VMD的短时电力负荷预测
[摘要]针对目前电力负荷序列的非线性和波动性日益增强导致电力负荷预测难度越来越大的问题,引入了食肉植物算法,并将其应用于变分模态分解的参数选择问题,从而提高变分模态分解的精准度。选用某地区的日用电量负荷数据作为电力负荷数据集进行分解。首先使...
基于多尺度跨时相交互感知的水体变化检测方法研究
[摘要]针对遥感图像进行水体变化检测时仍面临不同时相间的背景差异大、伪变化现象和水体变化边界模糊的问题,提出一种基于多尺度跨时相交互感知的网络MSCTFreqNet用于遥感影像的精准变化检测。首先,为了抑制背景对检测结果的干扰,提出跨时相交...
基于多任务学习的技能抽取
[摘要」从文本中抽取技能是一项重要的自然语言处理任务。例如,企业可以从招聘启事中抽取出技能从而了解工作市场上所需热门技能及其变化趋势。技能抽取通常需要建立机器学习模型来进行处理。然而,建模过程需要人工标注大量数据和设计特征,并且在单一文本语...
纳豆银杏紫苏复配物抗血栓形成的潜在作用机制
[摘要]为探讨纳豆银杏紫苏复配物抗血栓形成的潜在机制,通过超高效液相色谱-串联质谱技术分析主要活性成分,采用网络药理学方法挖掘该复配物抗血栓形成作用的核心靶点与关键信号通路,并通过分子对接对关键成分和关键核心靶点进行验证。结果表明:从复配物...
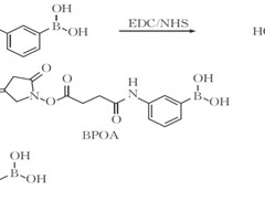
复合凝聚法制备包载雷公藤红素的明胶微囊
[摘要]利用复合凝聚技术,制备带有相反电荷的还原乙二胺化硫辛酸明胶和丁二酰氨基苯硼酸明胶的载药明胶微囊,旨在包载疏水性药物——雷公藤红素。通过迈克尔加成技术,将雷公藤红素与还原乙二胺化硫辛酸明胶结合,形成聚合物前药;利用含顺式二醇的前药与带...
自然降雨条件下生态防护边坡土壤水分动态分析
[摘要]土壤水分变化对边坡稳定具有重要影响。为研究自然降雨条件下,植物防护边坡中土壤水分的时空变化规律,开展了大型模型生态边坡试验,建造了三个坡比为 1:1.75 高为 2m 的边坡,分别采用狗牙根和多花木兰护坡,并将裸土边坡作为对照组。以...
铁粉和橡胶颗粒改良水泥砂浆抗冻和导热性能的对比研究
[摘要」为研究铁粉和橡胶颗粒对道路融雪化冰回填水泥砂浆抗冻和导热性能的影响,以M30水泥砂浆为基体,分别掺人不同粒径、掺量的铁粉和不同质量分数的橡胶颗粒,研究其抗冻和导热性能,并对比分析了二相体系材料导热模型。结果表明:铁粉对水泥砂浆抗冻和...
微生物诱导碳酸钙沉淀固化砂土的试验研究,
[摘要]微生物诱导碳酸钙沉积技术(MICP)是一种新型的土体固化技术,砂土颗粒大小及胶结液浓度对固化效果存在影响。选取厦门标准砂,筛选出三种粒径大小的砂样 (0.075~0.25mm , 0.25~1mm,1~2mm) ,同时配制四种胶结液...
高质量发展视角下高等教育与经济协调关系研究
[摘要]以我国31省(自治区、直辖市)作为研究对象,时间跨度为2011—2020年,通过选取高等教育与经济高质量发展指标体系,运用熵值法和耦合协调度模型测度二者耦合协调度水平,利用空间杜宾面板 Tobit模型探究耦合协调度的影响因素。结果表...
区域大数据与高质量发展耦合协调研究
[摘要]以长江经济带为研究对象,建立2012—2021年的区域大数据与高质量发展两个系统的指标体系,运用熵权TOPSIS法测算了各指标的权重和综合水平,并构建耦合协调度模型,进一步研究长江经济带大数据和高质量发展的耦合协调度。结果表明:长江...
基于模拟退火算法的期权定价研究
[摘要]准确高效地建立股指期权定价模型是金融领域的重要研究问题。对于上海证券交易、深圳证券交易所和中国金融期货交易所的沪深300ETF期权,建立Heston期权定价模型,使用模拟退火算法估计模型参数,并进行期权定价。结果表明,Heston模...
基于出血性脑卒中的临床智能诊断和治疗模型
[摘要]针对出血性脑卒中这一脑血管破裂引发的严重医疗事件,深入分析急性期患者神经功能损害与高死亡率的影响因素;通过收集和分析出血性脑卒中患者的临床数据,探讨了脑水肿变化、治疗条件与改良兰金量表(MRS)评分之间的相互关系,以提供更加精准的临...
相关杂志
订阅全年后,您可享受以下权益
①该本杂志即日起至未来1年内所有更新电子版杂志的使用权限;
②赠送该杂志的部分往期的杂志的使用权限,有效期1年。

全年订购价格: ¥43.74

订阅全年
--%>

登录龙源期刊网

温馨提示:

1.点击网站右上角的“充值”按钮可以为您的账号充值

2.充值金额可以选择30,50,100或500元

3.充值成功后即可购买网站上的任意杂志或文章

还没有龙源账户? 立即注册

购买杂志

湖北工业大学学报

杂志价格:¥7.29元

  • 微信扫码支付
  • 当前余额:100.00

购买杂志

湖北工业大学学报

杂志价格:¥7.29元

  • 微信扫码支付
  • 当前余额:¥100.00

    去充值
monitor
客服机器人