注册帐号丨忘记密码?
1.点击网站首页右上角的“充值”按钮可以为您的帐号充值
2.可选择不同档位的充值金额,充值后按篇按本计费
3.充值成功后即可购买网站上的任意文章或杂志的电子版
4.购买后文章、杂志可在个人中心的订阅/零买找到
5.登陆后可阅读免费专区的精彩内容
打开文本图片集
[中图分类号]:F224.0 [文献标识码]A
近年来,金融领域的衍生产品种类丰富。沪深300ETF期权于2019年12月23日,在上海证券交易所、深圳证券交易所和中国金融期货交易所正式上市交易。对这类股指期权进行准确定价,有利于广大投资者进行投资决策。
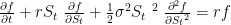
Black和Scholes建立的BS模型广泛应用于欧式期权的定价[1]。(剩余9474字)
登录龙源期刊网
购买文章
基于模拟退火算法的期权定价研究
文章价格:5.00元
当前余额:100.00
阅读
您目前是文章会员,阅读数共:0篇
剩余阅读数:0篇
阅读有效期:0001-1-1 0:00:00