注册帐号丨忘记密码?
1.点击网站首页右上角的“充值”按钮可以为您的帐号充值
2.可选择不同档位的充值金额,充值后按篇按本计费
3.充值成功后即可购买网站上的任意文章或杂志的电子版
4.购买后文章、杂志可在个人中心的订阅/零买找到
5.登陆后可阅读免费专区的精彩内容
打开文本图片集
[中图分类号]R944 [文献标识码]A
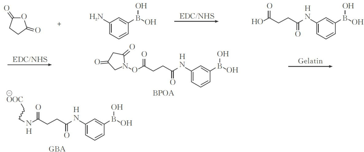
微胶囊化技术是一种将固体、液体或气体(核心物质)巧妙包裹在聚合物材料(即壁或壳)的连续基质中,形成直径介于 1~100μm 之间的微小球体的技术[1-2]。这一技术通过将天然生物活性化合物精心包裹,有效防止其在各种加工和储存条件下发生降解[3],并精准控制包衣材料的释放,进而提升生物利用度[4]。(剩余13686字)
登录龙源期刊网
购买文章
复合凝聚法制备包载雷公藤红素的明胶微囊
文章价格:6.00元
当前余额:100.00
阅读
您目前是文章会员,阅读数共:0篇
剩余阅读数:0篇
阅读有效期:0001-1-1 0:00:00