注册帐号丨忘记密码?
1.点击网站首页右上角的“充值”按钮可以为您的帐号充值
2.可选择不同档位的充值金额,充值后按篇按本计费
3.充值成功后即可购买网站上的任意文章或杂志的电子版
4.购买后文章、杂志可在个人中心的订阅/零买找到
5.登陆后可阅读免费专区的精彩内容
打开文本图片集
【中图分类号】F724.6【文献标志码】A
【文章编号】1673-1069(2025)08-0051-04
1引言
消费是刺激和拉动经济增长的重要引擎。随着短视频平台的兴起和“直播带货”的广泛流行,以抖音为代表的平台用户规模逐年扩大,更多群体开始进人直播间,掀起一波线上消费热潮。2024年上半年数据统计,我国实物商品网上零售额同比增长 8.8% ,占社会消费品零售总额的 25.3% 。(剩余5145字)
登录龙源期刊网
购买文章
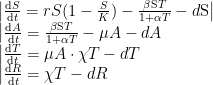
基于改进SEIR模型的"直播带货"消费行为分析
文章价格:4.00元
当前余额:100.00
阅读
您目前是文章会员,阅读数共:0篇
剩余阅读数:0篇
阅读有效期:0001-1-1 0:00:00