基于跟驰对的 CO2 排放特性的生态车辆跟驰策略

打开文本图片集
中图分类号:U491 文献标识码:A DOI:10.3969/j.issn.1674-8484.2025.04.008
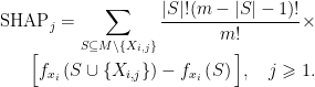
Abstract:An eco-car-following (ECF) strategieswas explored with the CO2 emissions ofcar-following behavior inmixedtraffcflowundertheenvironmentof inteligent connected vehicles.The vehicle trajectorydata was used toextract multi-dimensional car-folowing behavior feature parameters.An eXtreme Gradient Boosting (XGBoost) model wasestablished with calculatingandanalyzing theeffectsof car-folowing behavior feature parameters on CO2 emissions during the car-following process by using the Shapley Additive exPlanations (SHAP)algorithm.The intelligent driver model of human-drivenvehicles was calibrated.The Simulationof Urban MObility(SUMO)platform was using to simulate 11 mixed traffc scenarios.The Adaptive Cruise Control (ACC)and the Cooperative Adaptive Cruise Control (CACC) models Were employed for Connected and
Automated Vehicles (CAVs).The results show that the instantaneous mass CO2 emissions of CACC-CACC vehicle pairsde-crease bymore than 60% when the proportion of CACC vehicles exceeds 50% .There-fore,the strategyreduces CO2 emissions for CAVsand CACC-CACC car-following pairs in mixed traffic flow scenarios.
Keywords:connected automated vehicles (CAVs); mixed trafic flow;eco-car-following (ECF) strategy; carfollowing behavior; simulation of urban mobility (SUMO) platform
车辆跟驰行为(car-followingbehavior)是一种微观驾驶行为,描述了同一车道中前后车运动状态[-2]。(剩余14705字)