注册帐号丨忘记密码?
1.点击网站首页右上角的“充值”按钮可以为您的帐号充值
2.可选择不同档位的充值金额,充值后按篇按本计费
3.充值成功后即可购买网站上的任意文章或杂志的电子版
4.购买后文章、杂志可在个人中心的订阅/零买找到
5.登陆后可阅读免费专区的精彩内容
打开文本图片集
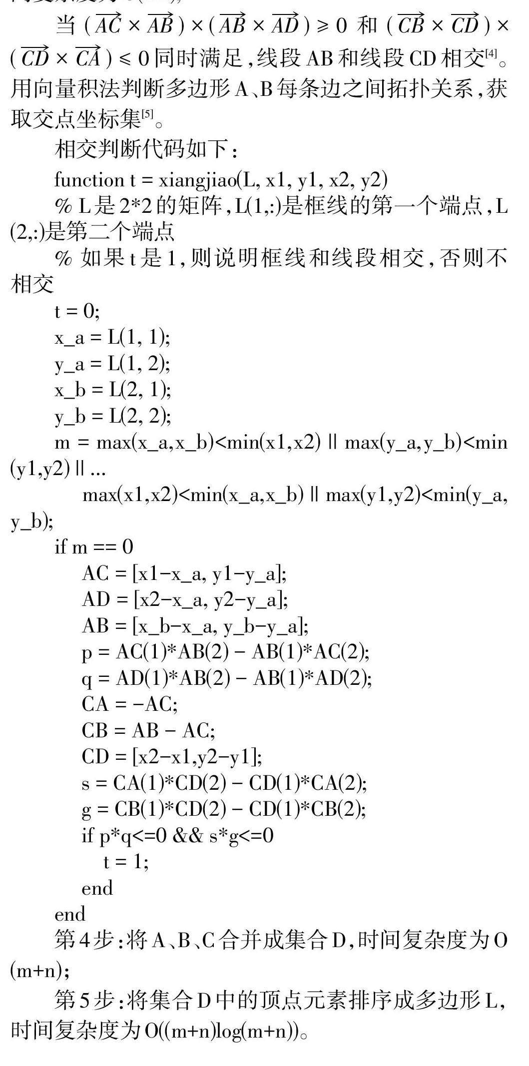
关键词:CT扫描;非均质性;安全
中图分类号:TP399 文献标识码:A
文章编号:1009-3044(2023)03-0005-04
1 引言
凝土材料是由骨料、砂浆、孔隙以及各组分界面组成的一种多相材料,这些成分在混凝土材料中的分布、形态和尺寸的不连续结构构成了混凝土的非均质特征[1]。在外力作用下,混凝土内部结构组成对其受力变形破坏和宏观力学反应的影响很显著。(剩余1112字)
登录龙源期刊网
购买文章
基于CT扫描的混凝土非均质性检测研究
文章价格:3.00元
当前余额:100.00
阅读
您目前是文章会员,阅读数共:0篇
剩余阅读数:0篇
阅读有效期:0001-1-1 0:00:00