注册帐号丨忘记密码?
1.点击网站首页右上角的“充值”按钮可以为您的帐号充值
2.可选择不同档位的充值金额,充值后按篇按本计费
3.充值成功后即可购买网站上的任意文章或杂志的电子版
4.购买后文章、杂志可在个人中心的订阅/零买找到
5.登陆后可阅读免费专区的精彩内容
打开文本图片集
中图分类号:TM615;TP183 文献标志码:A
0 引言
随着新能源发电容量占比增加,其间隙性、随机性、波动性的特征无疑会增加电网安全运行隐患。为确保新能源发电可控,各地不断加大新能源发电考核,加强场站发电功率日前和日内预测考核。然而,新能源大力发展并未促进预测厂家提升相应的运维力量,造成场站功率预测性能逐年下滑,考核费用升高。(剩余12294字)
登录龙源期刊网
购买文章
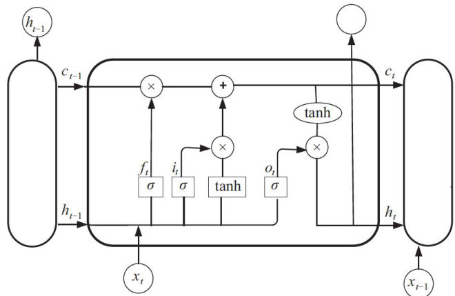
基于注意力机制的Bi-LSTM光伏发电超短期功率预测方法研究与实施
文章价格:6.00元
当前余额:100.00
阅读
您目前是文章会员,阅读数共:0篇
剩余阅读数:0篇
阅读有效期:0001-1-1 0:00:00