注册帐号丨忘记密码?
1.点击网站首页右上角的“充值”按钮可以为您的帐号充值
2.可选择不同档位的充值金额,充值后按篇按本计费
3.充值成功后即可购买网站上的任意文章或杂志的电子版
4.购买后文章、杂志可在个人中心的订阅/零买找到
5.登陆后可阅读免费专区的精彩内容
打开文本图片集
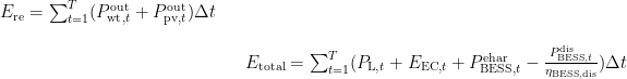
中图分类号:TM732 文献标志码:A
0 引言
多能源微网集成了风能、太阳能、燃气和储能,可在局域内实现供能的多元化互补,提升能源综合利用效率,助力“双碳”目标下的能源低碳转型[]。
在“双碳”目标的新形势下,中国电力市场化交易、绿色电力证书交易、碳排放权交易市场日趋完善,未来,各市场间将形成互补和协同发展的格局[2-3]。(剩余15754字)
登录龙源期刊网
购买文章
考虑电-碳-绿证联合交易的多能互补微网经济低碳调度
文章价格:6.00元
当前余额:100.00
阅读
您目前是文章会员,阅读数共:0篇
剩余阅读数:0篇
阅读有效期:0001-1-1 0:00:00