吉林大学学报(理学版)

吉林大学学报(理学版)

2026年01期
  • 收藏
收藏成功
微博 空间 微信
《吉林大学学报(理学版)》(原名为《吉林大学自然科学学报》是教育部主管的、吉林大学主办的自然科学领域的综合性学术期刊。创...     展开

类型

双月刊

类别

定价
促销信息
全年订阅更优惠!
¥50.00 ¥10.00
目录

数学

扩散-对流耦合作用下的登革热传播动力学模型
摘要:利用单调次齐性理论和链传递集理论,构建一类考虑空间异质性和风的对流效应的登革热传播模型,结果表明,基本再生数 R0 决定模型的全局阈值动力学:当 R0?1 时,疾病灭绝;当 R0>1 时,疾病持续存在,数值分析结果表明, R? ...
解一类时间分数阶逆扩散问题的分数阶Tikhonov正则化方法
摘要:利用分数阶Tikhonov正则化方法讨论一类时间分数阶扩散方程逆问题,分别给出先验条件和后验条件下正则化参数的选取准则,并给出该方法收敛性的严格证明,数值实验结果表明,分数阶Tikhonov正则化方法解该问题有效....
非线性需求下多主体渔业经济模型的动力学分析
摘要:基于非线性需求函数,建立一个多主体完全不合作的渔业经济模型,并讨论系统的局部稳定性与多稳态性,以及相关参数对系统局部和全局动力学的影响,结果表明,当成本参数和价格弹性较小,但市场需求较大且内在增长率能有效控制在一定范围内时,将有助于多...
非均匀介质下地形抛物方程的反问题
摘要:基于最优控制理论框架,建立地形抛物方程中折射率反演问题的优化模型.首先,通过严格的数学分析证明目标泛函极小值的存在性及必要条件;其次,证明该问题极小值的局部唯一性和稳定性....
全空间上具有Hardy项椭圆耦合系统的弱解
摘要:在全空间 R?N 中考虑具有 ?P -Laplace算子和Hardy型奇异项的椭圆耦合系统弱解的存在性,在可变号非线性项满足合适的假设条件下,利用变分法结合临界点定理确立了至少一个和至少两个弱解存在性的新准则....
具变号权函数的 p -Laplace方程正径向解的全局分歧结构
摘要:基于分歧理论研究一类带Dirichlet边界条件的拟线性椭圆边值问题正径向解的全局结构,特别地,通过引入临界指数 f0,f∞ ,在 f0∈(0,∞) 且 f∞=0 和 f0=∞ 且 f∞=0 两种典型情形下,证明了存在从分歧点发出的无...
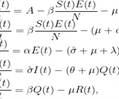
一类基于高斯白噪声的随机SEIQR猴痘传播模型
摘要:考虑具有高斯白噪声扰动的随机SEIQR猴痘传染病模型,首先,利用停时理论证明随机模型全局正解的存在唯一性,并通过构造Lyapunov函数、结合Ito公式,给出随机模型的解在相应确定性模型的无病平衡点和地方病平衡点附近的渐近行为;其次,...
(V,W, V )-Gorenstein平坦模
摘要:令 R 是有单位元的结合环, Y 和W是左 R- 模类,是右 R- 模类,首先,定义 (Y,W,Y)- Gorenstein平坦模,并给出(,W,)-Gorenstein平坦模的一个等价刻画;其次,证明在某些条件下该模类关于直和、直和...
树图的补距离谱半径
摘要:利用移边操作和Perron-Frobenius定理讨论树图的补距离谱半径问题,分别确定最大和最小的补距离谱半径的唯一树,并确定在树的补图中补距离谱半径最小的图,以及补距离谱半径第 i 大的图,其中 i=1,2,?,?(n-2)/2?...
仙人掌图的全Mostar指标的上界
摘要:利用图变换的方法确定具有 k 个圈的 n 阶仙人掌图的最大全Mostar指标,并刻画相应的极值图,即当 2n+k>18 且 n≥3k+1 时, Mot(G)?2n2+3nk-6n-25k+k2+4 ,其等号成立当且仅当 G 是通...
基于MCP惩罚的稀疏协方差矩阵估计
摘要:针对稀疏协方差矩阵估计问题,提出一种基于MCP(minimax concavepenalty)惩罚对数似然的稀疏协方差阵估计量,并利用坐标下降算法进行求解,模拟研究结果表明,在大多数情况下,该方法在估计稀疏协方差矩阵时,相较于Lass...

计算机科学

基于多路网络结构检测的群体共识决策方法
摘要:针对大规模群体决策中多层关系利用不足导致的质量和效率问题,提出一种基于多路网络结构检测的群体共识决策方法,该方法通过将决策者多层关系建模为可区分耦合组织,开发交互式重启随机游走算法映射意见传播,检测社区结构和影响力分布,并采用近邻近似...
基于局部相关性和多尺度空间注意力的人脸表情识别
摘要:针对遮挡、姿势变化和光照等因素对人脸表情识别的影响,提出一种基于局部相关性和多尺度空间注意力的人脸表情识别方法,首先,通过局部相关性模块,将局部特征与全局特征相结合,并增强局部特征之间的联系,从而提高模型在复杂环境下的识别性能,其次,...
考虑输入饱和的五自由度并联机构离散滑模控制
摘要:针对五自由度并联机构轨迹跟踪控制中由于模型不确定性、外界干扰以及输入饱和导致的跟踪精度较低的问题,提出一种考虑输入饱和的时变扰动补偿离散积分滑模控制算法.首先,针对输入饱和问题,同时考虑输入赋值与输入变化率受限的情况,设计离散饱和补偿...
基于图神经网络的服务迁移策略
摘要:针对动态车联网系统中服务迁移的时延和能耗最小化问题,提出一种基于图神经网络的服务迁移策略,首先,建立系统模型,将服务迁移问题建模为最小化时延和能耗的多目标优化问题;其次,将该问题转化为Markov决策过程,并定义状态、动作和奖励函数;...

物理

一类具阻尼的可压缩非Newton流体方程的整体解
摘要:研究一类具有初始真空和线性阻尼的非Newton流体初边值问题.在初始能量小,且初值满足一定相容性的条件下,利用加权能量估计技巧和Zlotnik不等式克服动量方程黏性项的非线性性,证明密度函数具有时间的一致上界,进而采用连续性方法得到该...
溶剂散逸自组装法制备定向透光金属有序光子膜
摘要:在潮湿条件下,利用溶剂散逸自组装法制备聚己内酯(PCL)有序光子膜,通过控制溶液浓度得到高度有序的多孔贯通膜.用离子溅射法将贯通膜表面吸附一层金属,并将银氨溶液置换成银,结果表明:这种银包覆的有序多孔贯通膜具有双层有序多孔结构,显著增...
基于还原氧化石墨烯和葡萄糖氧化酶的高灵敏度葡萄糖电化学传感器
摘要:针对基于生物酶的葡萄糖传感器灵敏度较低、便携性差且易受环境温度影响的问题,开发设计一种高灵敏度柔性葡萄糖传感器,采用丝网印刷技术制备以聚酰亚胺(PI)为基底的Au电极柔性葡萄糖传感器,在制备葡萄糖氧化酶混合溶液时掺杂还原氧化石墨烯( ...

材料科学

元素掺杂及分子吸附对 B4C3 电子性质的影响
摘要:研究S,N,P,Si4种原子掺杂和NO, NO2 ? NH3 . CO,CO2 4 SO2 . H2S7 种小分子吸附对B4C3 二维材料几何结构和电子性质的影响,结果表明,与本征 B4C3 材料 带隙相比,掺杂和小分子吸附体系的禁...

化学

氨气鼓泡法制备 Mg(OH)2 过程中镁盐的溶解度
摘要:用氨气鼓泡法制备 Mg(OH)2 ,当温度为 303.15~353.15K 时,测定 MgCl2 在不同浓度 NH4Cl 水溶液及气体积分数分别为 1.65×10-4,1.30×10-4,7.0×10-5...
高效KOH活化法制备酶解木质素基多孔炭
摘要:以酶解木质素为原料,通过优化KOH活化工艺构筑多孔木质素炭材料,采用一步活化法研究碳碱比、活化温度和活化时间等参数对木质素基多孔炭材料结构的影响,在三电极体系中测试所制备材料的电化学性能,并以KOH为电解液组装对称超级电容器,检测该材...

环境科学

Ni@C3N4 单原子催化剂的制备 及其水体抗生素污染降解性能
摘要:针对水体中抗生素如磺胺甲恶唑(SMX)存在广泛、对生态系统和人类健康构成威胁且传统污水处理工艺难以有效去除的问题,制备一种负载单原子Ni的少层 C3N1 催化剂(204号 ,通过氧还原反应生成 H2O2 ,可高效电催化降解磺胺甲恶唑...
相关杂志
订阅全年后,您可享受以下权益
①该本杂志即日起至未来1年内所有更新电子版杂志的使用权限;
②赠送该杂志的部分往期的杂志的使用权限,有效期1年。

全年订购价格: ¥60.00

订阅全年
--%>

登录龙源期刊网

温馨提示:

1.点击网站右上角的“充值”按钮可以为您的账号充值

2.充值金额可以选择30,50,100或500元

3.充值成功后即可购买网站上的任意杂志或文章

还没有龙源账户? 立即注册

购买杂志

吉林大学学报(理学版)

杂志价格:¥10.00元

  • 微信扫码支付
  • 当前余额:100.00

购买杂志

吉林大学学报(理学版)

杂志价格:¥10.00元

  • 微信扫码支付
  • 当前余额:¥100.00

    去充值
monitor
客服机器人