解一类时间分数阶逆扩散问题的分数阶Tikhonov正则化方法

打开文本图片集
中图分类号:O29 文献标志码:A 文章编号:1671-5489(2026)01-0013-08
Abstract:We discussed a class of inverse problem of time fractional order diffusion equations by using thefractional order Tikhonov regularization method.We gave selection criteria for the regularization parameter under prior and posterior conditions,and gave rigorous proofs of the convergence of the method. Numerical experimental results show that the fractional order Tikhonov regularization method is effective in solving this problem.
Keywords:fractional order inverse diffusion problem;fractional order Tikhonov regularization; selection rules for prior and posterior parameters;error estimates
0 引言
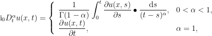
时间分数阶扩散方程可以更好地描述不符合经典Fick定律的反常扩散现象,因此广泛应用于物理、化学、生物、控制理论等领域[1-5].目前,关于时间分数阶扩散方程正问题的研究已有很多结果,但与之对应的逆问题由于问题的不适定性研究结果报道相对较少,本文考虑下列时间分数阶扩散方程,未知函数 u(x,t) 满足:
其中 0Dια 表示 α 阶 (0<α⩽1) 的Caputo分数阶导数,定义为
这里 Γ 为Gamma函数.本文研究的逆问题是:根据在 x=1 处给定的数据 u(1,t)=f(t) 确定在区间0 是观测数据,满足 其中 δ>0 为噪声水平, |⋅| 表示 的范数,本文中 |⋅| 均表示该范数.
上述逆问题也称为侧边反问题,是严重不适定的,需使用有效的正则化方法解决.Murio[6-8]最先使用磨光化方法研究了这类侧边反问题,之后一些研究者分别应用谱正则化方法、迭代正则化方法、修正核正则化方法对该反问题进行了研究[9-],本文尝试应用分数阶Tikhonov正则化方法[12]研究该逆问题.分数阶Tikhonov正则化方法与标准的Tikhonov方法相比其数值拟合效果更好,因此该方法应用广泛[13-18]。(剩余5901字)