注册帐号丨忘记密码?
1.点击网站首页右上角的“充值”按钮可以为您的帐号充值
2.可选择不同档位的充值金额,充值后按篇按本计费
3.充值成功后即可购买网站上的任意文章或杂志的电子版
4.购买后文章、杂志可在个人中心的订阅/零买找到
5.登陆后可阅读免费专区的精彩内容
打开文本图片集
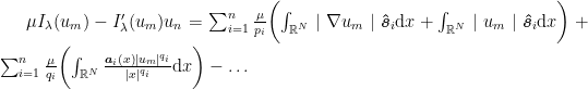
关键词: p -Laplace算子;椭圆耦合系统;Hardy奇异项;全空间 R∨ ;弱解中图分类号:0175.2 文献标志码:A 文章编号:1671-5489(2026)01-0037-06
Weak Solutions to Elliptic Coupled Systems withHardy T(剩余6096字)
登录龙源期刊网
购买文章
全空间上具有Hardy项椭圆耦合系统的弱解
文章价格:5.00元
当前余额:100.00
阅读
您目前是文章会员,阅读数共:0篇
剩余阅读数:0篇
阅读有效期:0001/1/1 0:00:00