注册帐号丨忘记密码?
1.点击网站首页右上角的“充值”按钮可以为您的帐号充值
2.可选择不同档位的充值金额,充值后按篇按本计费
3.充值成功后即可购买网站上的任意文章或杂志的电子版
4.购买后文章、杂志可在个人中心的订阅/零买找到
5.登陆后可阅读免费专区的精彩内容
打开文本图片集
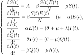
中图分类号:0175.1 文献标志码:A 文章编号:1671-5489(2026)01-0049-13
A Class of Stochastic SEIQR Monkeypox Propagation Models Based on Gaussian White Noise
WUWenzhe,ZH(剩余9086字)
登录龙源期刊网
购买文章
一类基于高斯白噪声的随机SEIQR猴痘传播模型
文章价格:5.00元
当前余额:100.00
阅读
您目前是文章会员,阅读数共:0篇
剩余阅读数:0篇
阅读有效期:0001/1/1 0:00:00