注册帐号丨忘记密码?
1.点击网站首页右上角的“充值”按钮可以为您的帐号充值
2.可选择不同档位的充值金额,充值后按篇按本计费
3.充值成功后即可购买网站上的任意文章或杂志的电子版
4.购买后文章、杂志可在个人中心的订阅/零买找到
5.登陆后可阅读免费专区的精彩内容
打开文本图片集
中图分类号:U270.7
文献标志码:A
0引言
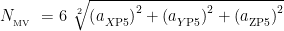
地铁作为城市轨道交通线路制式的一种,已成为人们出行的主要交通工具之一.乘客出行的舒适度和平稳性是评价地铁舒适性的主要指标,UIC513《铁路车辆内旅客振动舒适性评价准则》和GB5599—85《铁道车辆动力学性能评定和试验鉴定规范》2是目前评定火车、地(剩余9369字)
登录龙源期刊网
购买文章
基于STM32的车辆运行舒适度测量仪的设计与研究
文章价格:5.00元
当前余额:100.00
阅读
您目前是文章会员,阅读数共:0篇
剩余阅读数:0篇
阅读有效期:0001/1/1 0:00:00